🇳🇴 🇬🇧 🇩🇪 🇨🇿 🇫🇮

Meteor Skarnesin yllä 2026-01-08 17:25:50 UTC

KML-tiedosto  |  Interaktiivinen kartta

Kartta näyttää meteorin suuntahavainnot. Vaaleammat viivat näyttävät suunnat havaintoasemilta meteorin ilmestyessä, ja tummemmat viivat näyttävät, missä se viimeksi nähtiin. Sininen nuoli näyttää meteorin näkyvän lennon.

static map
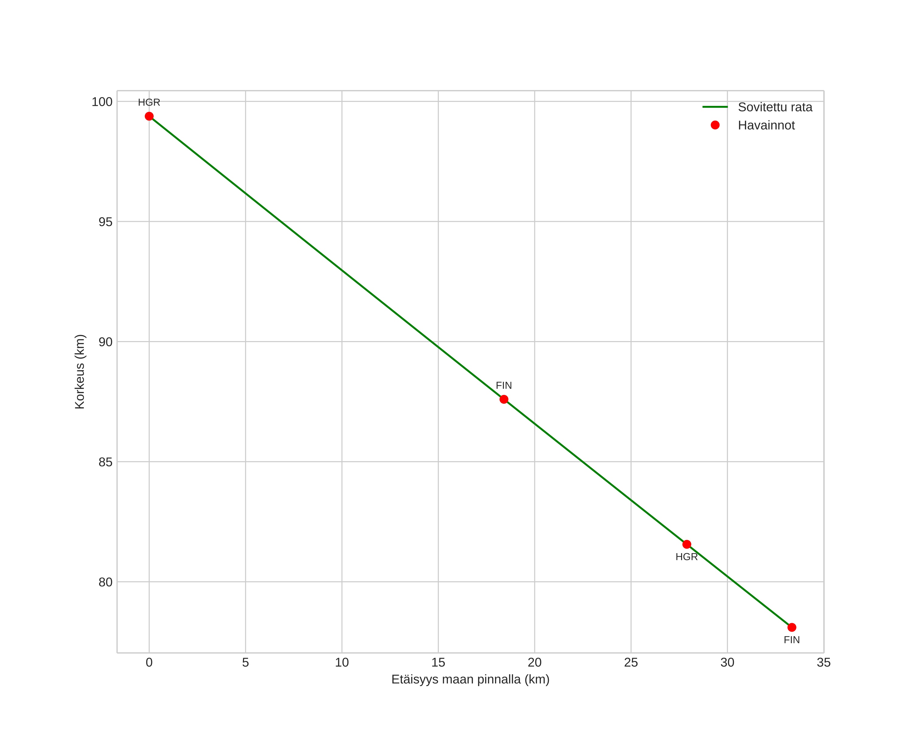
height profile
Meteorin ilmakehärata:
Alkukorkeus: 99,4 km
Loppukorkeus: 78,1 km
Alkupiste: 60,455N 12,299E
Loppupiste: 60,411N 11,698E
Suunta: 261,7°
Kallistuskulma: 32,6°
Tulonopeus: 25,2 km/s
Radiantin R,A,: 06:51 (102,8°)
Radiantin Dekl,: 29,4°
Meteoriparvi: Sporadinen
Meteoroidin rataelementit:
Perihelietäisyys: 0,648 AU
Eksentrisyys: 0,837
Inklinaatio: 4,4°
Nousevan solmun pituus: 288,0°
Perihelin argumentti: 255,4°
Keskianomalia: 355,0°
Epookki: 2026 JAN 08 17:25:50
orbit plot

Ei-interaktiivinen kuvaaja | Interaktiivinen kuvaaja

position vs time
speed and acceleration

Finnskogen (FIN) cam4


gnomonic
Videot:
• Gnomoninen
• Gnomoninen koordinaateilla
• Alkuperäinen
• Alkuperäinen koordinaateilla
Kuvat:
• Gnomoninen
• Gnomoninen koordinaateilla
• Alkuperäinen
• Alkuperäinen koordinaateilla
Tekstitiedostot:
• Havaintoraportti
• Observaatio
• Koordinaatit
• Loki
Kirkkaus

Hagar (HGR) cam6


gnomonic
Videot:
• Gnomoninen
• Gnomoninen koordinaateilla
• Alkuperäinen
• Alkuperäinen koordinaateilla
Kuvat:
• Gnomoninen
• Gnomoninen koordinaateilla
• Alkuperäinen
• Alkuperäinen koordinaateilla
Tekstitiedostot:
• Havaintoraportti
• Observaatio
• Koordinaatit
• Loki
Kirkkaus