🇳🇴 🇬🇧 🇩🇪 🇨🇿 🇫🇮

Meteor over Skarnes 2026-01-08 17:25:50 UTC

KML-fil  |  Interaktivt kart

Kartet viser peilingene for meteoren. De lysere linjene viser retningene fra observasjonsstedene for meteorens tilsynekomst, og de mørkere linjene viser hvor den sist kunne sees. Den blå pila viser meteorens synlige ferd.

static map
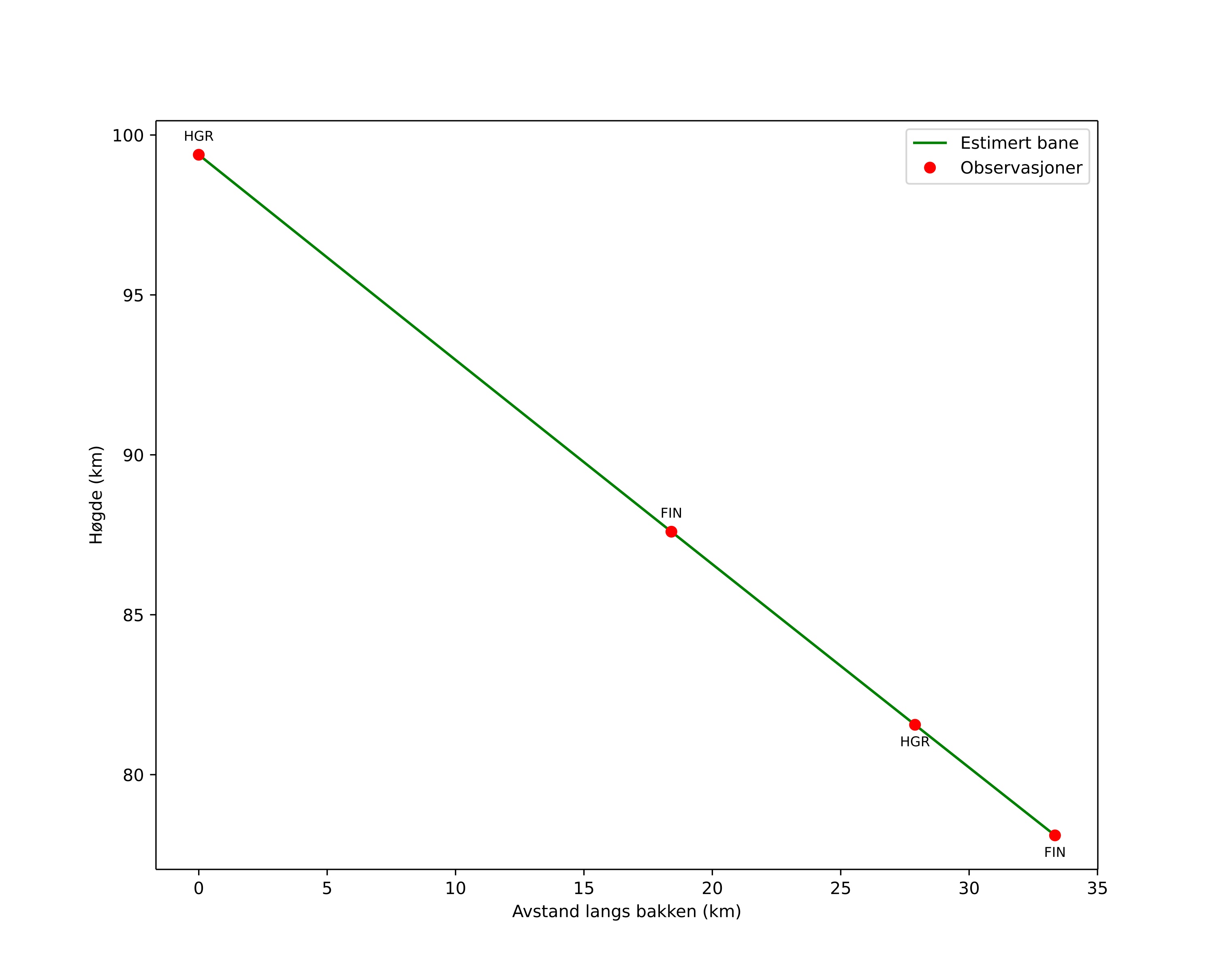
height profile
Meteorens atmosfæriske bane:
Starthøgde: 99,4 km
Slutthøgde: 78,1 km
Startposisjon: 60,455N 12,299E
Sluttposisjon: 60,411N 11,698E
Retning: 261,7°
Fallvinkel: 32,6°
Inngangshastighet: 25,2 km/s
Radiantens rektascensjon: 06:51 (102,8°)
Radiantens deklinasjon: 29,4°
Meteorsverm: sporadisk
Meteoroidens baneelement:
Perihelavstand: 0,648 AU
Eksentrisitet: 0,837
Inklinasjon: 4,4°
Knutelengde: 288,0°
Perihelargument: 255,4°
Midlere anomali: 355,0°
Epoke: 2026 JAN 08 17:25:50
orbit plot

Ikke-interaktivt plott | Interaktivt plott

position vs time
speed and acceleration

Finnskogen (FIN) cam4


gnomonic
Videoer
• Gnomonisk
• Gnomonisk med koordinater
• Original
• Original med koordinater
Bilder
• Gnomonisk
• Gnomonisk med koordinater
• Original
• Original med koordinater
Tekstfiler
• Deteksjon
• Observasjon
• Koordinater
• Logg
Lysstyrke

Hagar (HGR) cam6


gnomonic
Videoer
• Gnomonisk
• Gnomonisk med koordinater
• Original
• Original med koordinater
Bilder
• Gnomonisk
• Gnomonisk med koordinater
• Original
• Original med koordinater
Tekstfiler
• Deteksjon
• Observasjon
• Koordinater
• Logg
Lysstyrke