🇳🇴 🇬🇧 🇩🇪 🇨🇿 🇫🇮

Meteorrapport 2026-01-10 02:51:45 UTC


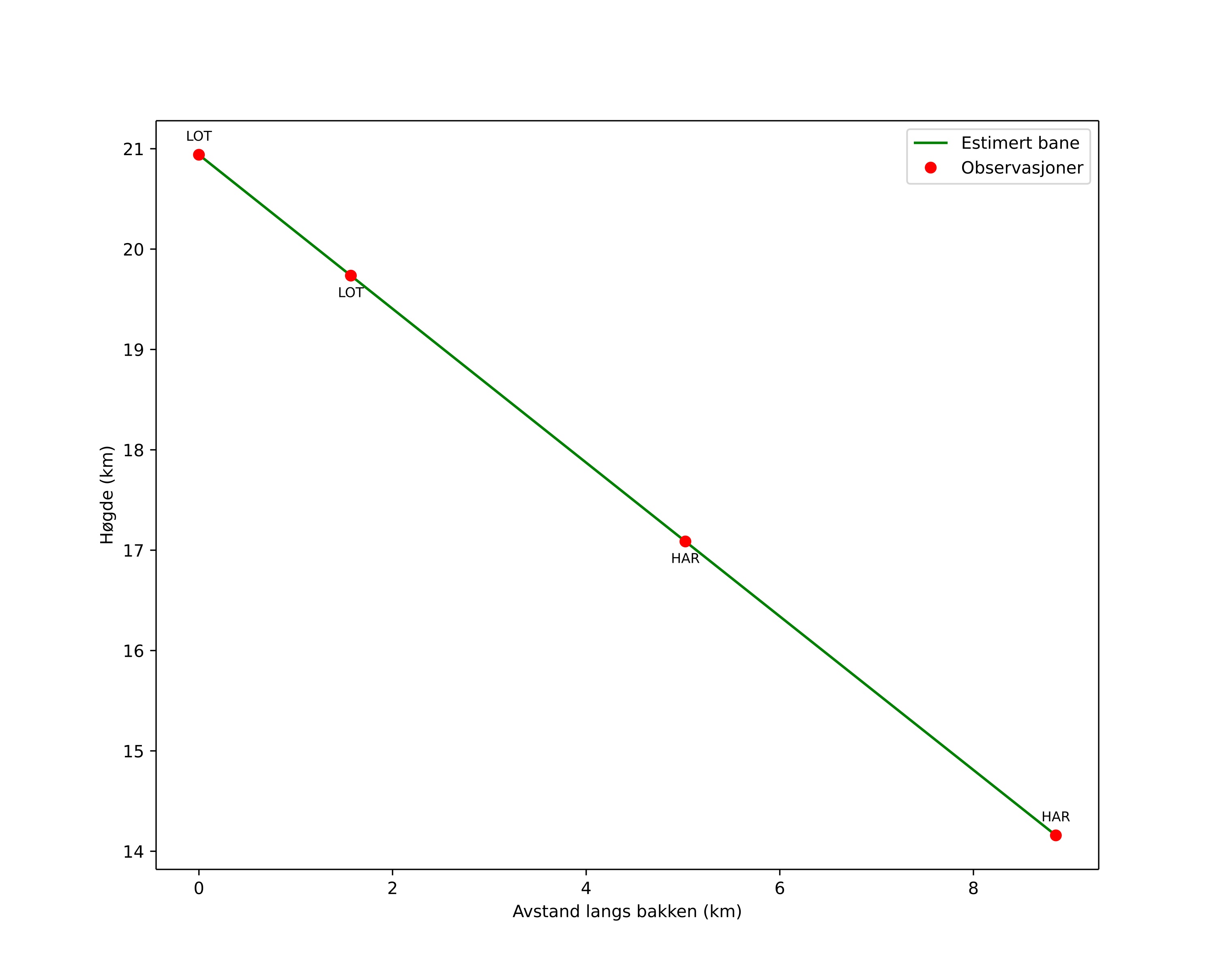
Loten (LOT) cam7


preview
Videoer
• Gnomonisk
• Gnomonisk med koordinater
• Original
• Original med koordinater
Bilder
• Gnomonisk
• Gnomonisk med koordinater
• Original
• Original med koordinater
Tekstfiler
• Deteksjon
• Observasjon
• Koordinater
• Logg
Lysstyrke