🇳🇴 🇬🇧 🇩🇪 🇨🇿 🇫🇮

Meteor over Stange 2026-01-10 02:51:45 UTC

KML file  |  Interactive map

The map shows the bearings for the meteor. The lighter lines show the directions from the observation sites at the meteor's appearance, and the darker lines show where it was last seen. The blue arrow indicates the visible path of the meteor.

static map
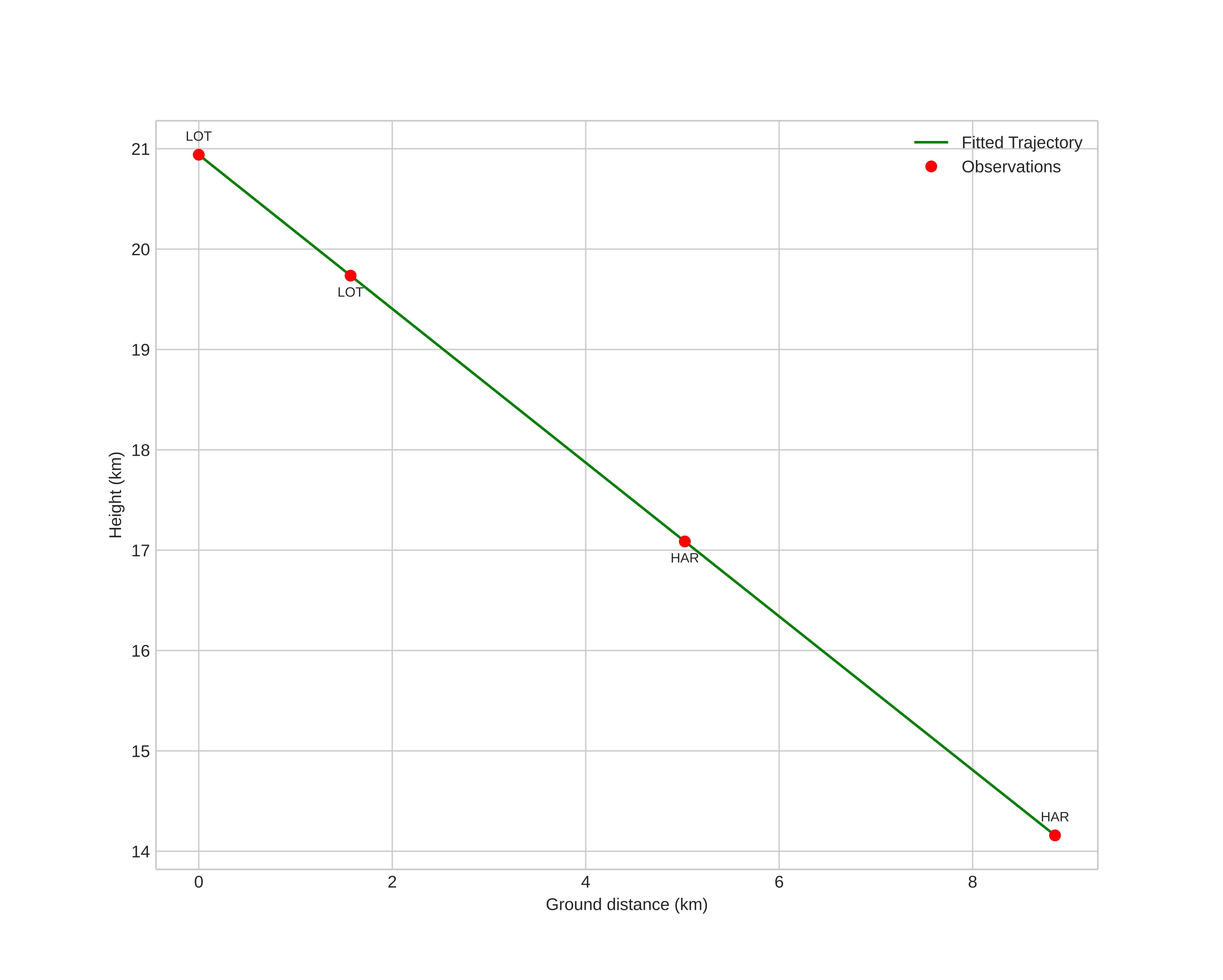
height profile
wind profile
Meteor's Atmospheric Trajectory:
Start height: 20.9 km
End height: 14.2 km
Start position: 60.681N 11.251E
End position: 60.674N 11.089E
Direction: 264.9°
Inclination angle: 37.1°
position vs time
speed and acceleration

Harestua (HAR) cam6


gnomonic
Videos
• Gnomonic
• Gnomonic with coordinates
• Original
• Original with coordinates
Images
• Gnomonic
• Gnomonic with coordinates
• Original
• Original with coordinates
Text Files
• Detection
• Observation
• Coordinates
• Log
Brightness

Loten (LOT) cam7


gnomonic
Videos
• Gnomonic
• Gnomonic with coordinates
• Original
• Original with coordinates
Images
• Gnomonic
• Gnomonic with coordinates
• Original
• Original with coordinates
Text Files
• Detection
• Observation
• Coordinates
• Log
Brightness