🇳🇴 🇬🇧 🇩🇪 🇨🇿 🇫🇮

Meteor, poloha: Stange 2026-01-10 02:51:45 UTC

Soubor KML  |  Interaktivní mapa

Mapa zobrazuje dráhy meteoru. Světlejší čáry ukazují směry od pozorovacích stanic při objevení se meteoru a tmavší čáry, kde byl naposledy viděn. Modrá šipka značí viditelnou dráhu meteoru.

static map
height profile
wind profile
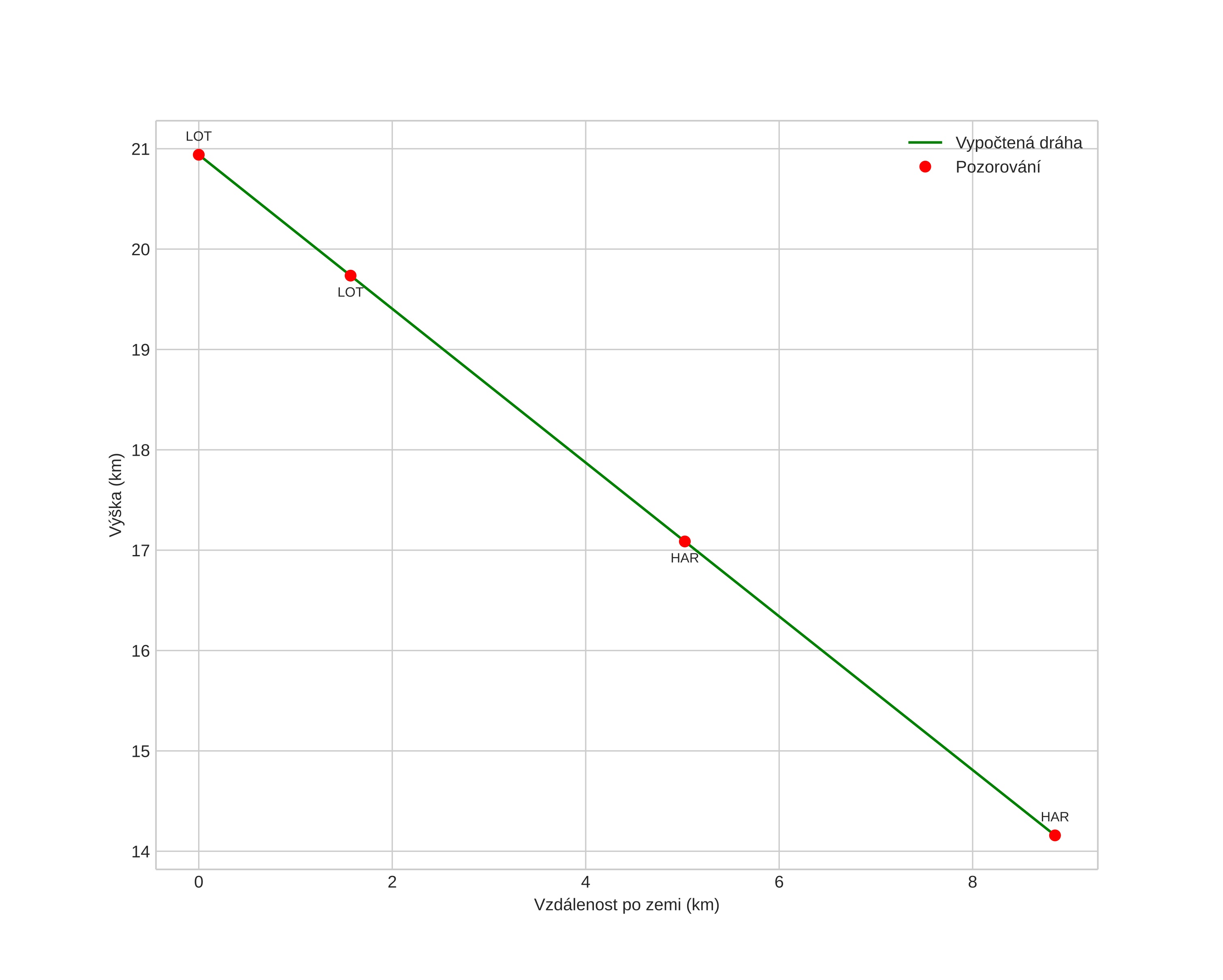
Atmosférická dráha meteoru:
Počáteční výška: 20,9 km
Konečná výška: 14,2 km
Počáteční poloha: 60,681N 11,251E
Konečná poloha: 60,674N 11,089E
Směr: 264,9°
Sklon: 37,1°
position vs time
speed and acceleration