🇳🇴 🇬🇧 🇩🇪 🇨🇿 🇫🇮

Meteor over Sjølyststranda 2026-01-11 02:18:10 UTC

KML file  |  Interactive map

The map shows the bearings for the meteor. The lighter lines show the directions from the observation sites at the meteor's appearance, and the darker lines show where it was last seen. The blue arrow indicates the visible path of the meteor.

static map
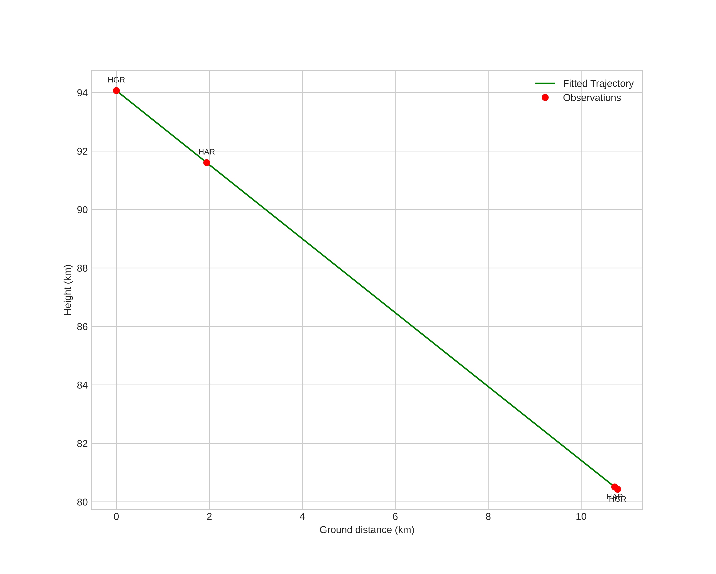
height profile
Meteor's Atmospheric Trajectory:
Start height: 94.1 km
End height: 80.4 km
Start position: 59.988N 10.531E
End position: 60.048N 10.685E
Direction: 52.3°
Inclination angle: 51.8°
Entry speed: 27.4 km/s
Radiant R.A.: 07:58 (119.7°)
Radiant Dec.: 27.7°
Meteor Shower: sporadic
Meteoroid's Orbital Elements:
Perihelion distance: 0.479 AU
Eccentricity: 0.779
Inclination: 6.2°
Long. of Asc. Node: 290.5°
Argument of Perihelion: 280.0°
Mean Anomaly: 346.3°
Epoch: 2026 JAN 11 02:18:10
orbit plot

Non-interactive plot | Interactive plot

position vs time
speed and acceleration

Hagar (HGR) cam6


gnomonic
Videos
• Gnomonic
• Gnomonic with coordinates
• Original
• Original with coordinates
Images
• Gnomonic
• Gnomonic with coordinates
• Original
• Original with coordinates
Text Files
• Detection
• Observation
• Coordinates
• Log
Brightness

Harestua (HAR) cam7


gnomonic
Videos
• Gnomonic
• Gnomonic with coordinates
• Original
• Original with coordinates
Images
• Gnomonic
• Gnomonic with coordinates
• Original
• Original with coordinates
Text Files
• Detection
• Observation
• Coordinates
• Log
Brightness