🇳🇴 🇬🇧 🇩🇪 🇨🇿 🇫🇮

Meteor Sjølyststrandan yllä 2026-01-11 02:18:10 UTC

KML-tiedosto  |  Interaktiivinen kartta

Kartta näyttää meteorin suuntahavainnot. Vaaleammat viivat näyttävät suunnat havaintoasemilta meteorin ilmestyessä, ja tummemmat viivat näyttävät, missä se viimeksi nähtiin. Sininen nuoli näyttää meteorin näkyvän lennon.

static map
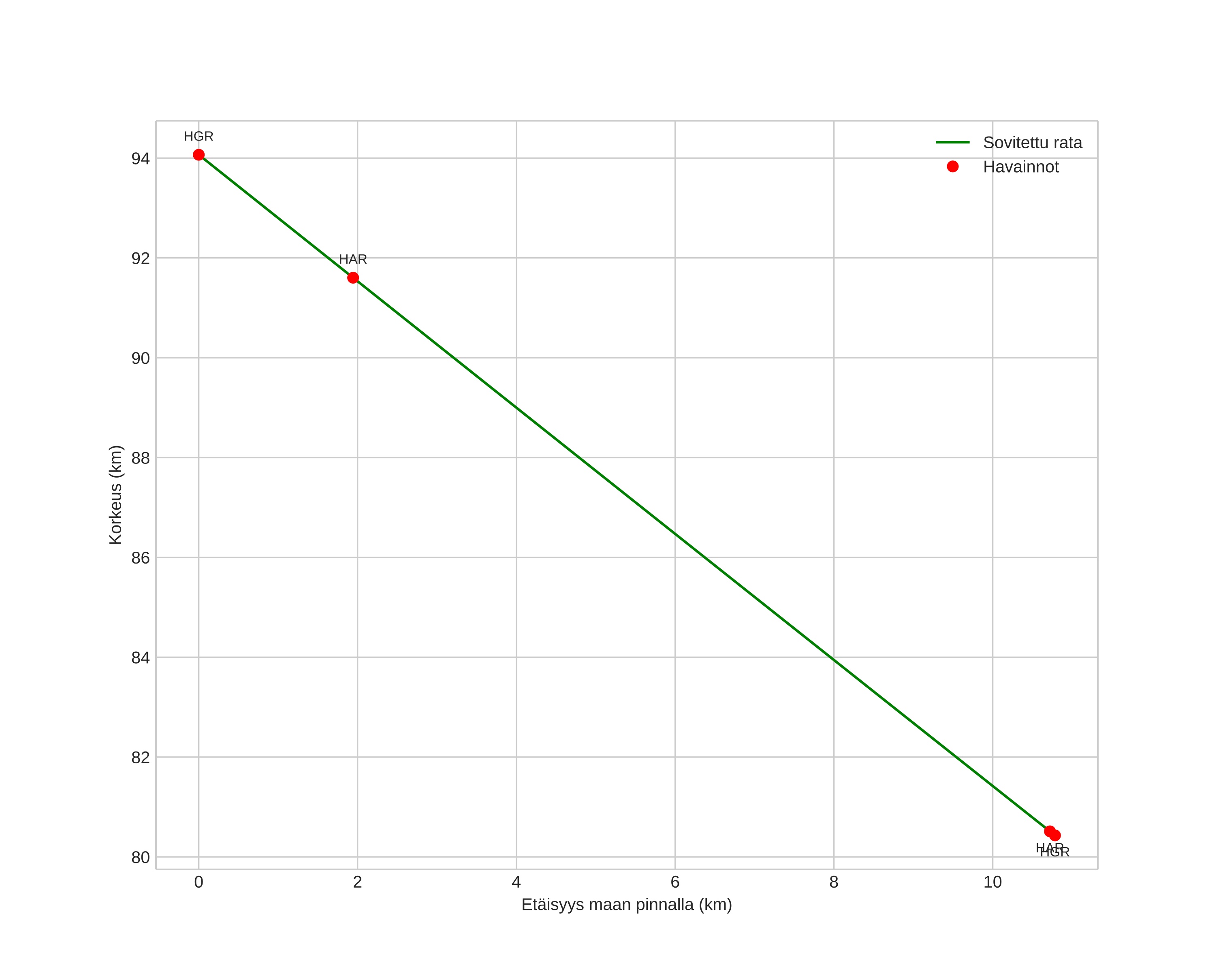
height profile
Meteorin ilmakehärata:
Alkukorkeus: 94,1 km
Loppukorkeus: 80,4 km
Alkupiste: 59,988N 10,531E
Loppupiste: 60,048N 10,685E
Suunta: 52,3°
Kallistuskulma: 51,8°
Tulonopeus: 27,4 km/s
Radiantin R,A,: 07:58 (119,7°)
Radiantin Dekl,: 27,7°
Meteoriparvi: Sporadinen
Meteoroidin rataelementit:
Perihelietäisyys: 0,479 AU
Eksentrisyys: 0,779
Inklinaatio: 6,2°
Nousevan solmun pituus: 290,5°
Perihelin argumentti: 280,0°
Keskianomalia: 346,3°
Epookki: 2026 JAN 11 02:18:10
orbit plot

Ei-interaktiivinen kuvaaja | Interaktiivinen kuvaaja

position vs time
speed and acceleration

Hagar (HGR) cam6


gnomonic
Videot:
• Gnomoninen
• Gnomoninen koordinaateilla
• Alkuperäinen
• Alkuperäinen koordinaateilla
Kuvat:
• Gnomoninen
• Gnomoninen koordinaateilla
• Alkuperäinen
• Alkuperäinen koordinaateilla
Tekstitiedostot:
• Havaintoraportti
• Observaatio
• Koordinaatit
• Loki
Kirkkaus

Harestua (HAR) cam7


gnomonic
Videot:
• Gnomoninen
• Gnomoninen koordinaateilla
• Alkuperäinen
• Alkuperäinen koordinaateilla
Kuvat:
• Gnomoninen
• Gnomoninen koordinaateilla
• Alkuperäinen
• Alkuperäinen koordinaateilla
Tekstitiedostot:
• Havaintoraportti
• Observaatio
• Koordinaatit
• Loki
Kirkkaus