🇳🇴 🇬🇧 🇩🇪 🇨🇿 🇫🇮

Meteor über Tretten 2026-02-06 04:50:30 UTC

KML-Datei  |  Interaktive Karte

Die Karte zeigt die Peilungen für den Meteor. Die helleren Linien zeigen die Richtungen von den Beobachtungsorten beim Erscheinen des Meteors, und die dunkleren Linien, wo er zuletzt gesehen wurde. Der blaue Pfeil zeigt die sichtbare Bahn des Meteors.

static map
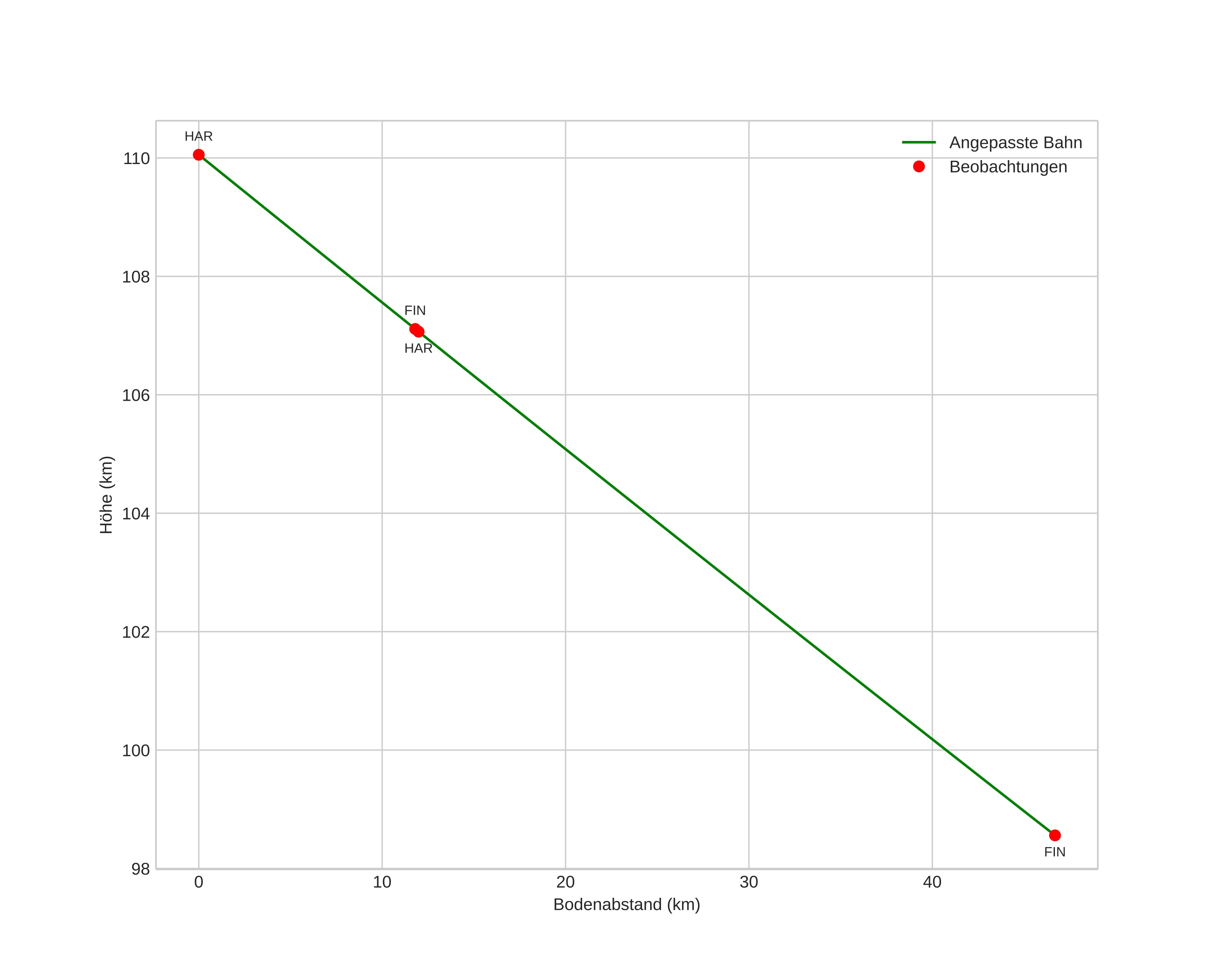
height profile
Atmosphärische Bahn des Meteors:
Anfangshöhe: 110,1 km
Endhöhe: 98,6 km
Startposition: 61,123N 11,104E
Endposition: 61,432N 10,512E
Richtung: 317,6°
Neigungswinkel: 13,8°
Eintrittsgeschwindigkeit: 62,7 km/s
Rektaszension des Radianten: 17:24 (261,1°)
Deklination des Radianten: -8,5°
Meteorstrom: sporadisch
Bahnelemente des Meteoroiden:
Periheldistanz: 0,340 AU
Exzentrizität: 0,974
Inklination: 141,1°
Länge des aufsteigenden Knotens: 317,0°
Argument des Perihels: 70,8°
Mittlere Anomalie: 0,8°
Epoche: 2026 FEB 06 04:50:30
orbit plot

Nicht-interaktives Diagramm | Interaktives Diagramm

position vs time
speed and acceleration

Finnskogen (FIN) cam5


gnomonic
Videos
• Gnomonisch
• Gnomonisch mit Koordinaten
• Original
• Original mit Koordinaten
Bilder
• Gnomonisch
• Gnomonisch mit Koordinaten
• Original
• Original mit Koordinaten
Textdateien
• Erkennung
• Beobachtung
• Koordinaten
• Protokoll
Helligkeit

Harestua (HAR) cam6


gnomonic
Videos
• Gnomonisch
• Gnomonisch mit Koordinaten
• Original
• Original mit Koordinaten
Bilder
• Gnomonisch
• Gnomonisch mit Koordinaten
• Original
• Original mit Koordinaten
Textdateien
• Erkennung
• Beobachtung
• Koordinaten
• Protokoll
Helligkeit