🇳🇴 🇬🇧 🇩🇪 🇨🇿 🇫🇮

Meteor Trettenin yllä 2026-02-06 04:50:30 UTC

KML-tiedosto  |  Interaktiivinen kartta

Kartta näyttää meteorin suuntahavainnot. Vaaleammat viivat näyttävät suunnat havaintoasemilta meteorin ilmestyessä, ja tummemmat viivat näyttävät, missä se viimeksi nähtiin. Sininen nuoli näyttää meteorin näkyvän lennon.

static map
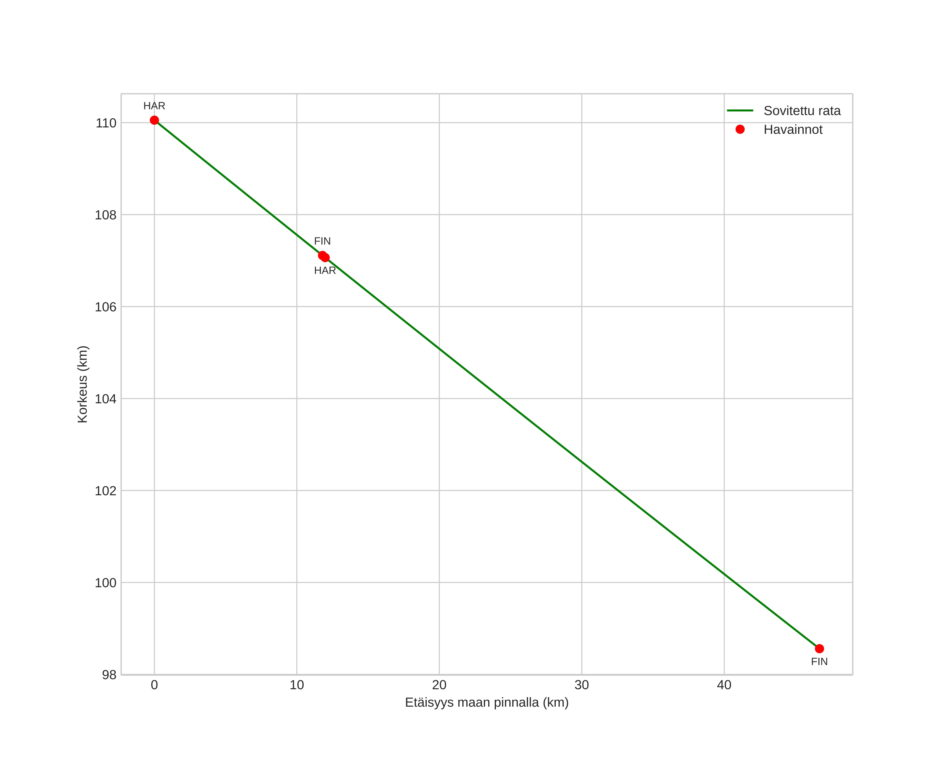
height profile
Meteorin ilmakehärata:
Alkukorkeus: 110,1 km
Loppukorkeus: 98,6 km
Alkupiste: 61,123N 11,104E
Loppupiste: 61,432N 10,512E
Suunta: 317,6°
Kallistuskulma: 13,8°
Tulonopeus: 62,7 km/s
Radiantin R,A,: 17:24 (261,1°)
Radiantin Dekl,: -8,5°
Meteoriparvi: Sporadinen
Meteoroidin rataelementit:
Perihelietäisyys: 0,340 AU
Eksentrisyys: 0,974
Inklinaatio: 141,1°
Nousevan solmun pituus: 317,0°
Perihelin argumentti: 70,8°
Keskianomalia: 0,8°
Epookki: 2026 FEB 06 04:50:30
orbit plot

Ei-interaktiivinen kuvaaja | Interaktiivinen kuvaaja

position vs time
speed and acceleration

Finnskogen (FIN) cam5


gnomonic
Videot:
• Gnomoninen
• Gnomoninen koordinaateilla
• Alkuperäinen
• Alkuperäinen koordinaateilla
Kuvat:
• Gnomoninen
• Gnomoninen koordinaateilla
• Alkuperäinen
• Alkuperäinen koordinaateilla
Tekstitiedostot:
• Havaintoraportti
• Observaatio
• Koordinaatit
• Loki
Kirkkaus

Harestua (HAR) cam6


gnomonic
Videot:
• Gnomoninen
• Gnomoninen koordinaateilla
• Alkuperäinen
• Alkuperäinen koordinaateilla
Kuvat:
• Gnomoninen
• Gnomoninen koordinaateilla
• Alkuperäinen
• Alkuperäinen koordinaateilla
Tekstitiedostot:
• Havaintoraportti
• Observaatio
• Koordinaatit
• Loki
Kirkkaus