🇳🇴 🇬🇧 🇩🇪 🇨🇿 🇫🇮

Meteor, poloha: Kopparberg 2026-02-13 21:24:11 UTC

Soubor KML  |  Interaktivní mapa

Mapa zobrazuje dráhy meteoru. Světlejší čáry ukazují směry od pozorovacích stanic při objevení se meteoru a tmavší čáry, kde byl naposledy viděn. Modrá šipka značí viditelnou dráhu meteoru.

static map
height profile
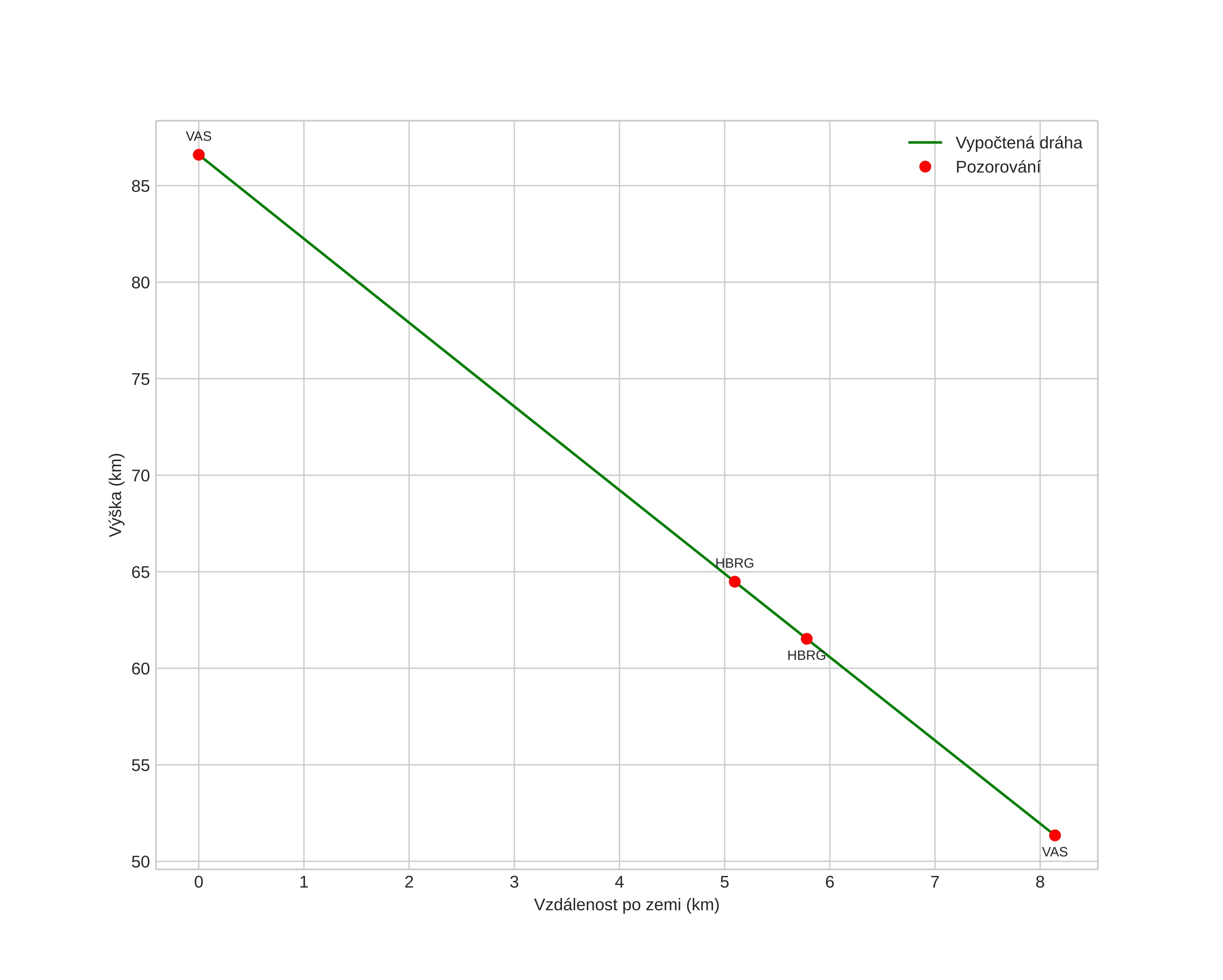
Atmosférická dráha meteoru:
Počáteční výška: 86,6 km
Konečná výška: 51,3 km
Počáteční poloha: 59,835N 14,761E
Konečná poloha: 59,900N 14,826E
Směr: 26,7°
Sklon: 77,0°
Vstupní rychlost: 17,1 km/s
Rektascenze radiantu: 07:13 (108,4°)
Deklinace radiantu: 46,0°
Meteorický roj: sporadický
Elementy dráhy meteoroidu:
Vzdálenost v periheliu: 0,931 AU
Excentricita: 0,740
Sklon dráhy: 7,8°
Délka vzestupného uzlu: 324,8°
Argument perihelia: 210,2°
Střední anomálie: 356,8°
Epocha: 2026 FEB 13 21:24:11
orbit plot

Neinteraktivní graf | Interaktivní graf

position vs time
speed and acceleration