🇳🇴 🇬🇧 🇩🇪 🇨🇿 🇫🇮

Meteor Kopparbergin yllä 2026-02-13 21:24:11 UTC

KML-tiedosto  |  Interaktiivinen kartta

Kartta näyttää meteorin suuntahavainnot. Vaaleammat viivat näyttävät suunnat havaintoasemilta meteorin ilmestyessä, ja tummemmat viivat näyttävät, missä se viimeksi nähtiin. Sininen nuoli näyttää meteorin näkyvän lennon.

static map
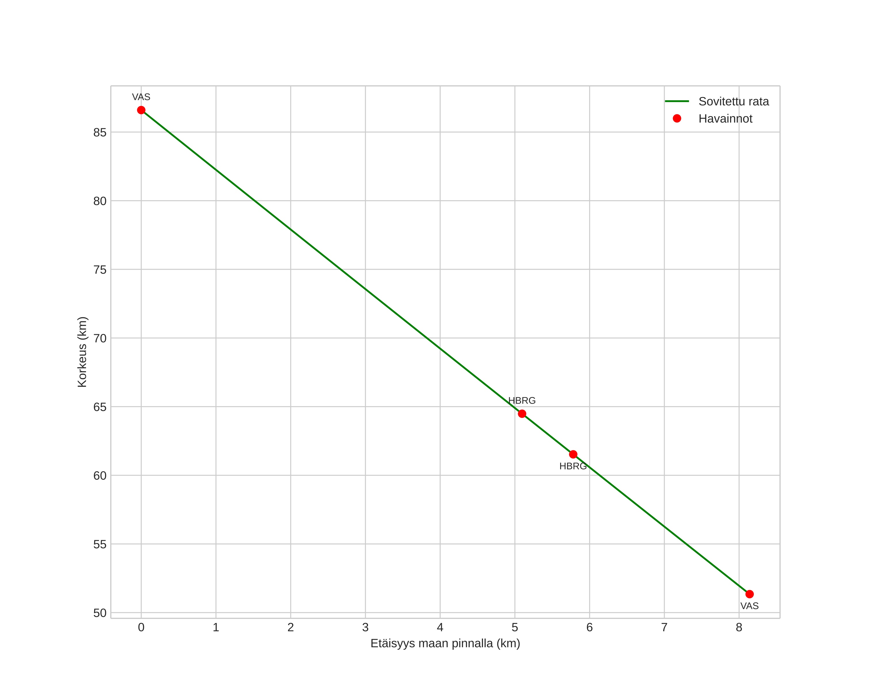
height profile
Meteorin ilmakehärata:
Alkukorkeus: 86,6 km
Loppukorkeus: 51,3 km
Alkupiste: 59,835N 14,761E
Loppupiste: 59,900N 14,826E
Suunta: 26,7°
Kallistuskulma: 77,0°
Tulonopeus: 17,1 km/s
Radiantin R,A,: 07:13 (108,4°)
Radiantin Dekl,: 46,0°
Meteoriparvi: Sporadinen
Meteoroidin rataelementit:
Perihelietäisyys: 0,931 AU
Eksentrisyys: 0,740
Inklinaatio: 7,8°
Nousevan solmun pituus: 324,8°
Perihelin argumentti: 210,2°
Keskianomalia: 356,8°
Epookki: 2026 FEB 13 21:24:11
orbit plot

Ei-interaktiivinen kuvaaja | Interaktiivinen kuvaaja

position vs time
speed and acceleration

Vasteras (VAS) cam5


gnomonic
Videot:
• Gnomoninen
• Gnomoninen koordinaateilla
• Alkuperäinen
• Alkuperäinen koordinaateilla
Kuvat:
• Gnomoninen
• Gnomoninen koordinaateilla
• Alkuperäinen
• Alkuperäinen koordinaateilla
Tekstitiedostot:
• Havaintoraportti
• Observaatio
• Koordinaatit
• Loki
Kirkkaus