🇳🇴 🇬🇧 🇩🇪 🇨🇿 🇫🇮

Meteor, poloha: Ă…l 2026-02-18 02:38:56 UTC

Soubor KML  |  InteraktivnĂ­ mapa

Mapa zobrazuje dráhy meteoru. Světlejší čáry ukazují směry od pozorovacích stanic při objevení se meteoru a tmavší čáry, kde byl naposledy viděn. Modrá šipka značí viditelnou dráhu meteoru.

static map
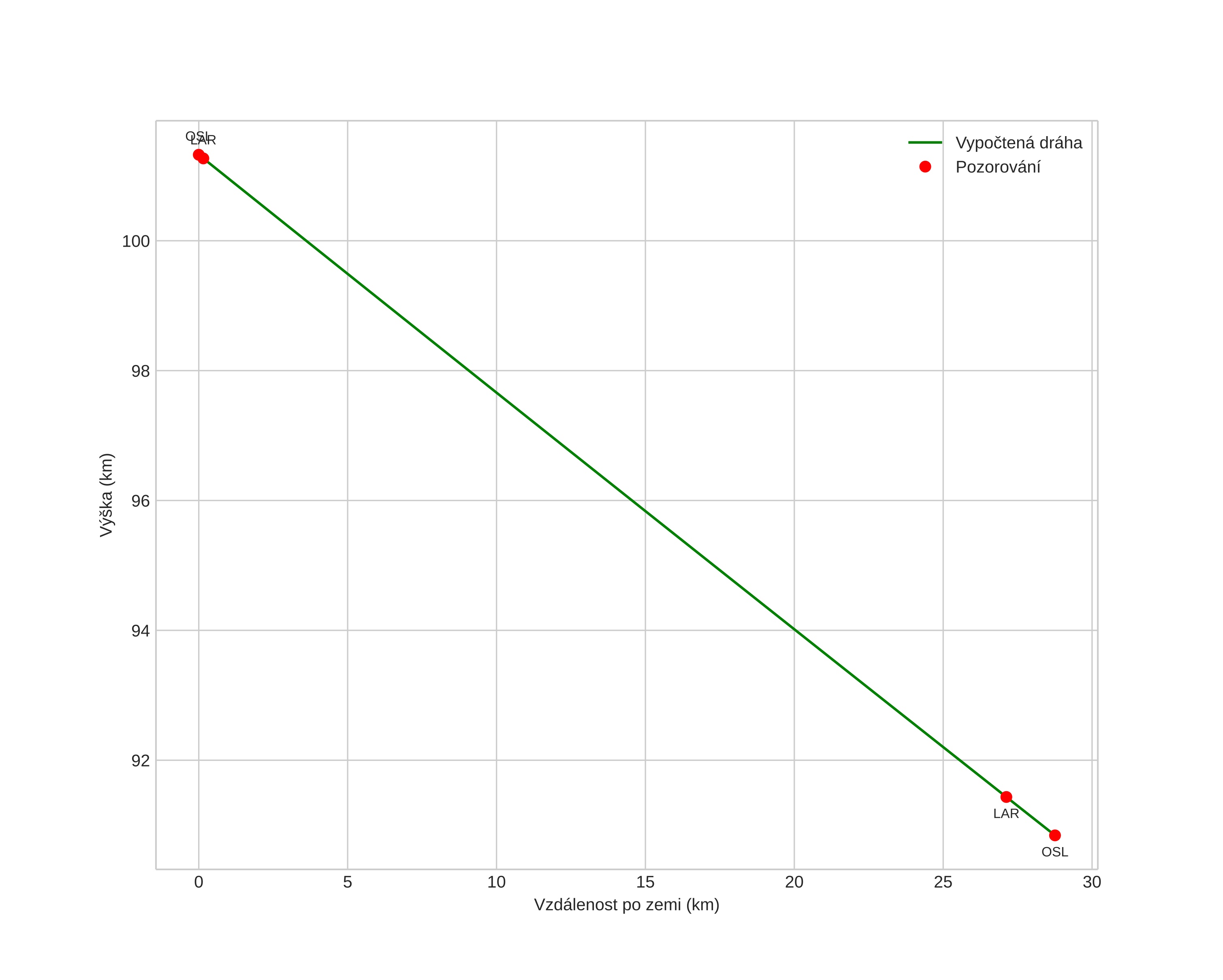
height profile
Atmosférická dráha meteoru:
Počáteční výška: 101,3 km
Konečná výška: 90,8 km
Počáteční poloha: 60,222N 8,518E
Konečná poloha: 60,478N 8,440E
Směr: 351,5°
Sklon: 20,1°
VstupnĂ­ rychlost: 60,5 km/s
Rektascenze radiantu: 13:35 (203,8°)
Deklinace radiantu: -10,0°
MeteorickĂ˝ roj: sporadickĂ˝
Elementy dráhy meteoroidu:
Vzdálenost v periheliu: 0,220 AU
Excentricita: 0,909
Sklon dráhy: 179,8°
Délka vzestupného uzlu: 148,6°
Argument perihelia: 128,8°
Střední anomálie: 350,2°
Epocha: 2026 FEB 18 02:38:56
orbit plot

NeinteraktivnĂ­ graf | InteraktivnĂ­ graf

position vs time
speed and acceleration

Larvik (LAR) cam1


preview
Videa
• Gnomonický
• Gnomonická se souřadnicemi
• Původní
• Původní se souřadnicemi
Obrázky
• Gnomonický
• Gnomonická se souřadnicemi
• Původní
• Původní se souřadnicemi
Textové soubory
• Detekce
• Pozorování
• Souřadnice
• Protokol
Jasnost

Voksenlia (OSL) cam2


preview
Videa
• Gnomonický
• Gnomonická se souřadnicemi
• Původní
• Původní se souřadnicemi
Obrázky
• Gnomonický
• Gnomonická se souřadnicemi
• Původní
• Původní se souřadnicemi
Textové soubory
• Detekce
• Pozorování
• Souřadnice
• Protokol
Jasnost