🇳🇴 🇬🇧 🇩🇪 🇨🇿 🇫🇮

Meteor over Ã…l 2026-02-18 02:38:56 UTC

KML file  |  Interactive map

The map shows the bearings for the meteor. The lighter lines show the directions from the observation sites at the meteor's appearance, and the darker lines show where it was last seen. The blue arrow indicates the visible path of the meteor.

static map
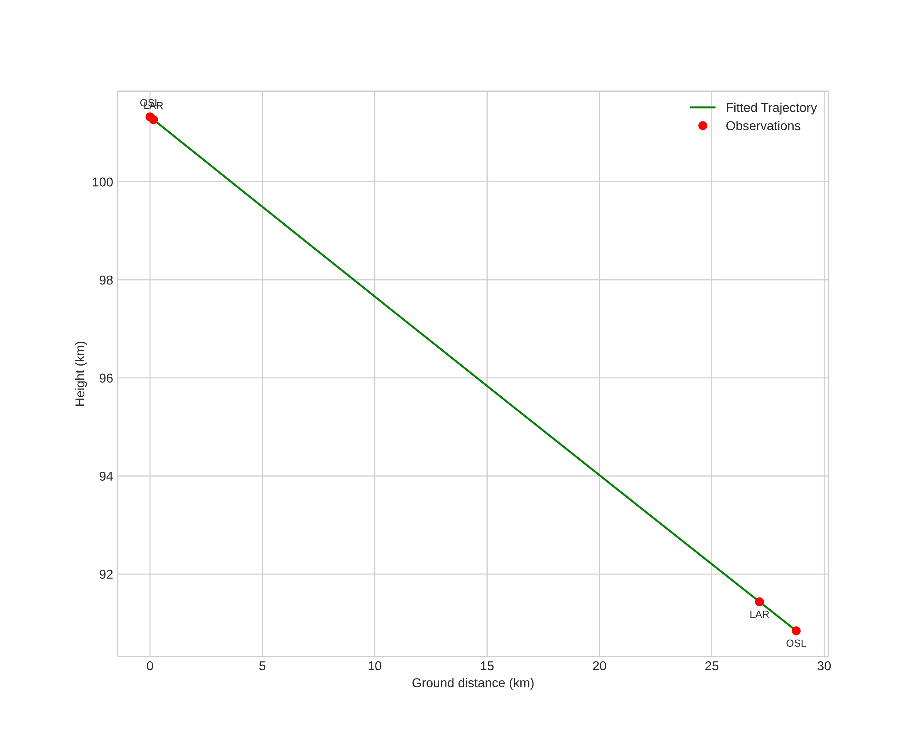
height profile
Meteor's Atmospheric Trajectory:
Start height: 101.3 km
End height: 90.8 km
Start position: 60.222N 8.518E
End position: 60.478N 8.440E
Direction: 351.5°
Inclination angle: 20.1°
Entry speed: 60.5 km/s
Radiant R.A.: 13:35 (203.8°)
Radiant Dec.: -10.0°
Meteor Shower: sporadic
Meteoroid's Orbital Elements:
Perihelion distance: 0.220 AU
Eccentricity: 0.909
Inclination: 179.8°
Long. of Asc. Node: 148.6°
Argument of Perihelion: 128.8°
Mean Anomaly: 350.2°
Epoch: 2026 FEB 18 02:38:56
orbit plot

Non-interactive plot | Interactive plot

position vs time
speed and acceleration

Larvik (LAR) cam1


preview
Videos
• Gnomonic
• Gnomonic with coordinates
• Original
• Original with coordinates
Images
• Gnomonic
• Gnomonic with coordinates
• Original
• Original with coordinates
Text Files
• Detection
• Observation
• Coordinates
• Log
Brightness

Voksenlia (OSL) cam2


preview
Videos
• Gnomonic
• Gnomonic with coordinates
• Original
• Original with coordinates
Images
• Gnomonic
• Gnomonic with coordinates
• Original
• Original with coordinates
Text Files
• Detection
• Observation
• Coordinates
• Log
Brightness