🇳🇴 🇬🇧 🇩🇪 🇨🇿 🇫🇮

Meteor over Jessheim 2026-02-21 18:41:10 UTC

KML-fil  |  Interaktivt kart

Kartet viser peilingene for meteoren. De lysere linjene viser retningene fra observasjonsstedene for meteorens tilsynekomst, og de mørkere linjene viser hvor den sist kunne sees. Den blå pila viser meteorens synlige ferd.

static map
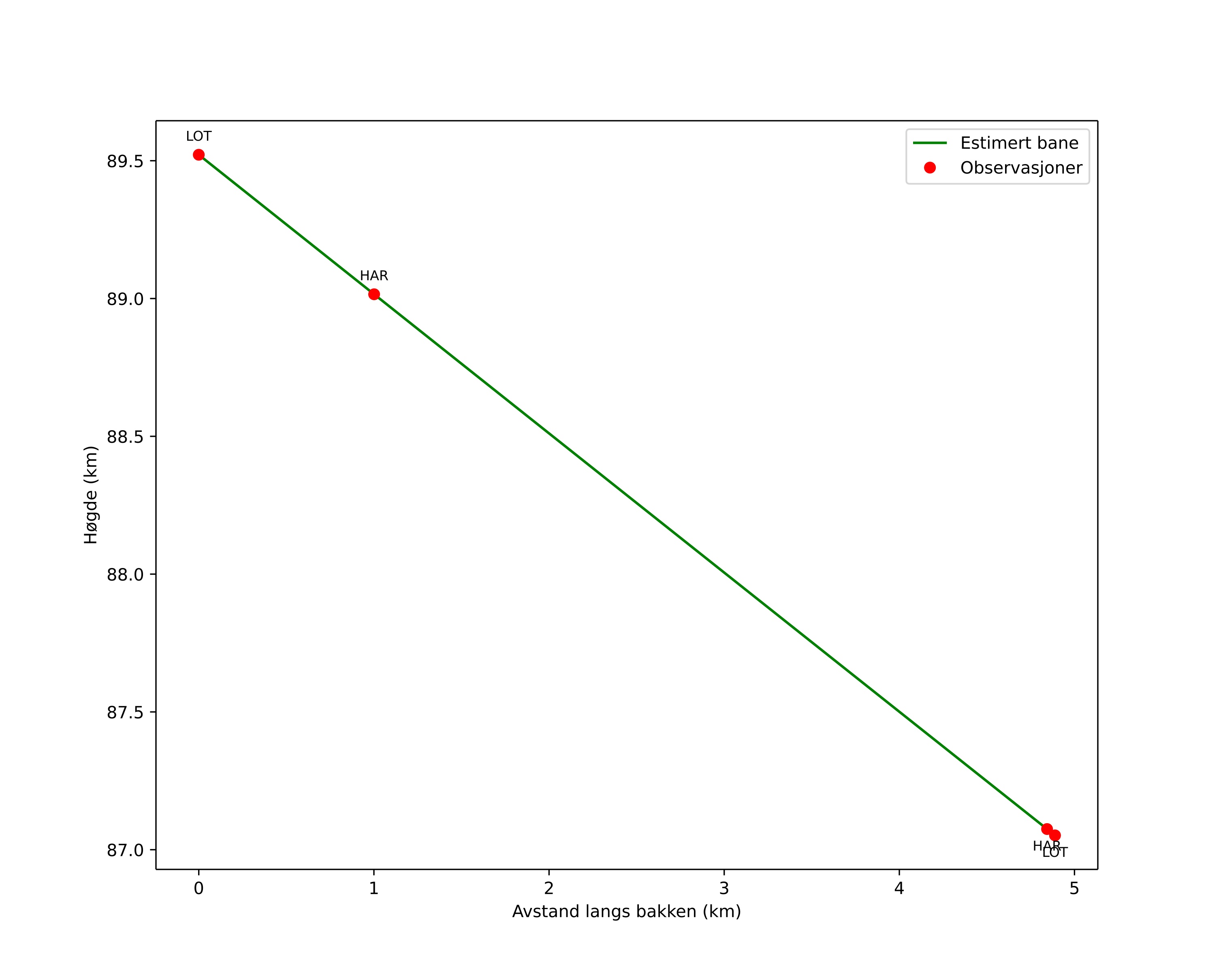
height profile
Meteorens atmosfæriske bane:
Starthøgde: 89,5 km
Slutthøgde: 87,1 km
Startposisjon: 60,135N 11,313E
Sluttposisjon: 60,134N 11,225E
Retning: 267,9°
Fallvinkel: 26,2°
Inngangshastighet: 34,2 km/s
Radiantens rektascensjon: 10:47 (161,8°)
Radiantens deklinasjon: 22,1°
Meteorsverm: sporadisk
Meteoroidens baneelement:
Perihelavstand: 0,486 AU
Eksentrisitet: 1,032
Inklinasjon: 14,3°
Knutelengde: 332,8°
Perihelargument: 270,1°
Midlere anomali: -0,6°
Epoke: 2026 FEB 21 18:41:10
orbit plot

Ikke-interaktivt plott | Interaktivt plott

position vs time
speed and acceleration

Harestua (HAR) cam7


preview
Videoer
• Gnomonisk
• Gnomonisk med koordinater
• Original
• Original med koordinater
Bilder
• Gnomonisk
• Gnomonisk med koordinater
• Original
• Original med koordinater
Tekstfiler
• Deteksjon
• Observasjon
• Koordinater
• Logg
Lysstyrke

Loten (LOT) cam7


preview
Videoer
• Gnomonisk
• Gnomonisk med koordinater
• Original
• Original med koordinater
Bilder
• Gnomonisk
• Gnomonisk med koordinater
• Original
• Original med koordinater
Tekstfiler
• Deteksjon
• Observasjon
• Koordinater
• Logg
Lysstyrke