🇳🇴 🇬🇧 🇩🇪 🇨🇿 🇫🇮

Meteor Jessheimin yllä 2026-02-21 18:41:10 UTC

KML-tiedosto  |  Interaktiivinen kartta

Kartta näyttää meteorin suuntahavainnot. Vaaleammat viivat näyttävät suunnat havaintoasemilta meteorin ilmestyessä, ja tummemmat viivat näyttävät, missä se viimeksi nähtiin. Sininen nuoli näyttää meteorin näkyvän lennon.

static map
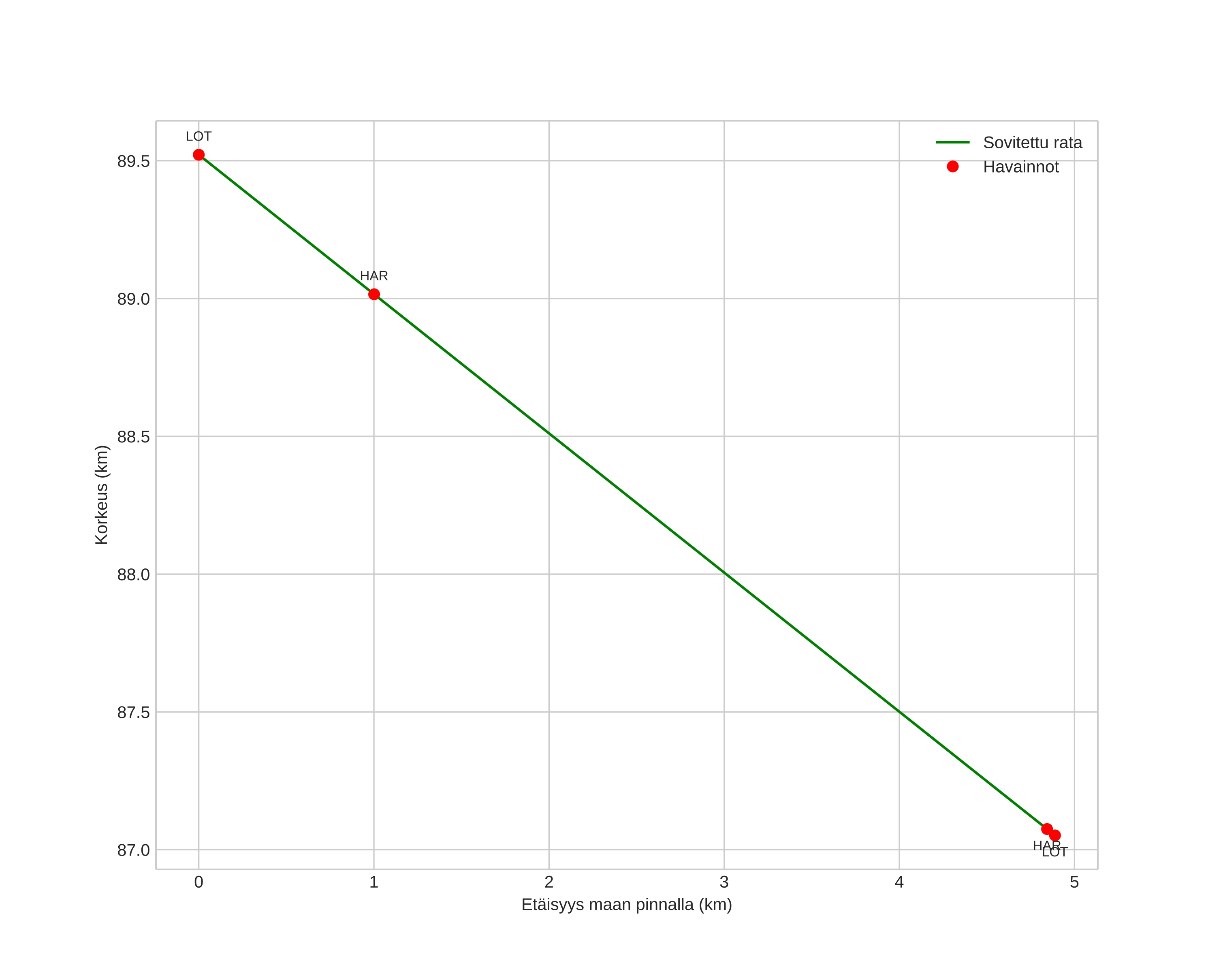
height profile
Meteorin ilmakehärata:
Alkukorkeus: 89,5 km
Loppukorkeus: 87,1 km
Alkupiste: 60,135N 11,313E
Loppupiste: 60,134N 11,225E
Suunta: 267,9°
Kallistuskulma: 26,2°
Tulonopeus: 34,2 km/s
Radiantin R,A,: 10:47 (161,8°)
Radiantin Dekl,: 22,1°
Meteoriparvi: Sporadinen
Meteoroidin rataelementit:
Perihelietäisyys: 0,486 AU
Eksentrisyys: 1,032
Inklinaatio: 14,3°
Nousevan solmun pituus: 332,8°
Perihelin argumentti: 270,1°
Keskianomalia: -0,6°
Epookki: 2026 FEB 21 18:41:10
orbit plot

Ei-interaktiivinen kuvaaja | Interaktiivinen kuvaaja

position vs time
speed and acceleration

Harestua (HAR) cam7


preview
Videot:
• Gnomoninen
• Gnomoninen koordinaateilla
• Alkuperäinen
• Alkuperäinen koordinaateilla
Kuvat:
• Gnomoninen
• Gnomoninen koordinaateilla
• Alkuperäinen
• Alkuperäinen koordinaateilla
Tekstitiedostot:
• Havaintoraportti
• Observaatio
• Koordinaatit
• Loki
Kirkkaus

Loten (LOT) cam7


preview
Videot:
• Gnomoninen
• Gnomoninen koordinaateilla
• Alkuperäinen
• Alkuperäinen koordinaateilla
Kuvat:
• Gnomoninen
• Gnomoninen koordinaateilla
• Alkuperäinen
• Alkuperäinen koordinaateilla
Tekstitiedostot:
• Havaintoraportti
• Observaatio
• Koordinaatit
• Loki
Kirkkaus