🇳🇴 🇬🇧 🇩🇪 🇨🇿 🇫🇮

Meteor über Jessheim 2026-02-21 18:41:10 UTC

KML-Datei  |  Interaktive Karte

Die Karte zeigt die Peilungen für den Meteor. Die helleren Linien zeigen die Richtungen von den Beobachtungsorten beim Erscheinen des Meteors, und die dunkleren Linien, wo er zuletzt gesehen wurde. Der blaue Pfeil zeigt die sichtbare Bahn des Meteors.

static map
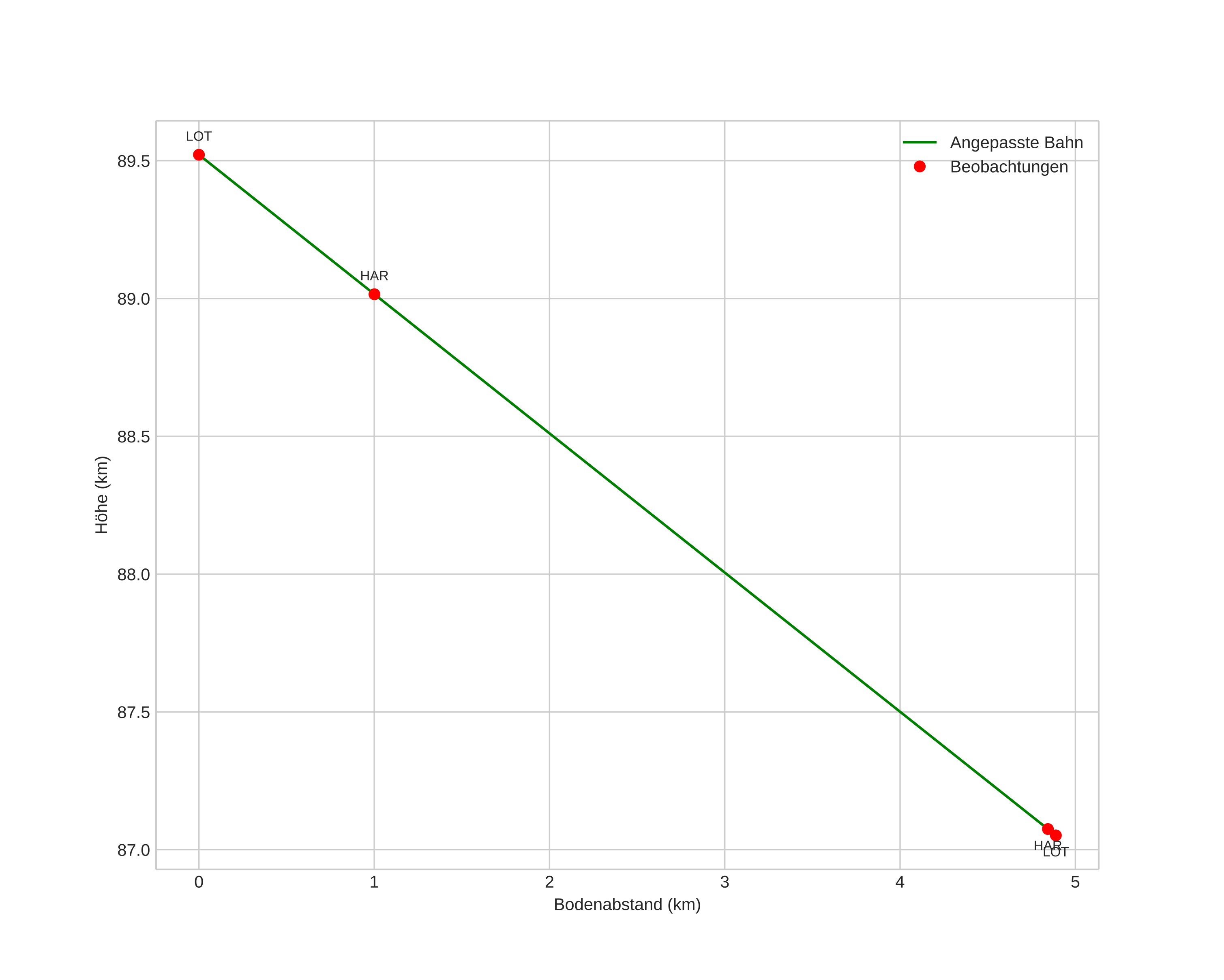
height profile
Atmosphärische Bahn des Meteors:
Anfangshöhe: 89,5 km
Endhöhe: 87,1 km
Startposition: 60,135N 11,313E
Endposition: 60,134N 11,225E
Richtung: 267,9°
Neigungswinkel: 26,2°
Eintrittsgeschwindigkeit: 34,2 km/s
Rektaszension des Radianten: 10:47 (161,8°)
Deklination des Radianten: 22,1°
Meteorstrom: sporadisch
Bahnelemente des Meteoroiden:
Periheldistanz: 0,486 AU
Exzentrizität: 1,032
Inklination: 14,3°
Länge des aufsteigenden Knotens: 332,8°
Argument des Perihels: 270,1°
Mittlere Anomalie: -0,6°
Epoche: 2026 FEB 21 18:41:10
orbit plot

Nicht-interaktives Diagramm | Interaktives Diagramm

position vs time
speed and acceleration

Harestua (HAR) cam7


preview
Videos
• Gnomonisch
• Gnomonisch mit Koordinaten
• Original
• Original mit Koordinaten
Bilder
• Gnomonisch
• Gnomonisch mit Koordinaten
• Original
• Original mit Koordinaten
Textdateien
• Erkennung
• Beobachtung
• Koordinaten
• Protokoll
Helligkeit

Loten (LOT) cam7


preview
Videos
• Gnomonisch
• Gnomonisch mit Koordinaten
• Original
• Original mit Koordinaten
Bilder
• Gnomonisch
• Gnomonisch mit Koordinaten
• Original
• Original mit Koordinaten
Textdateien
• Erkennung
• Beobachtung
• Koordinaten
• Protokoll
Helligkeit