🇳🇴 🇬🇧 🇩🇪 🇨🇿 🇫🇮

Meteor Lidköpingin yllä 2026-03-12 03:07:15 UTC

KML-tiedosto  |  Interaktiivinen kartta

Kartta näyttää meteorin suuntahavainnot. Vaaleammat viivat näyttävät suunnat havaintoasemilta meteorin ilmestyessä, ja tummemmat viivat näyttävät, missä se viimeksi nähtiin. Sininen nuoli näyttää meteorin näkyvän lennon.

static map
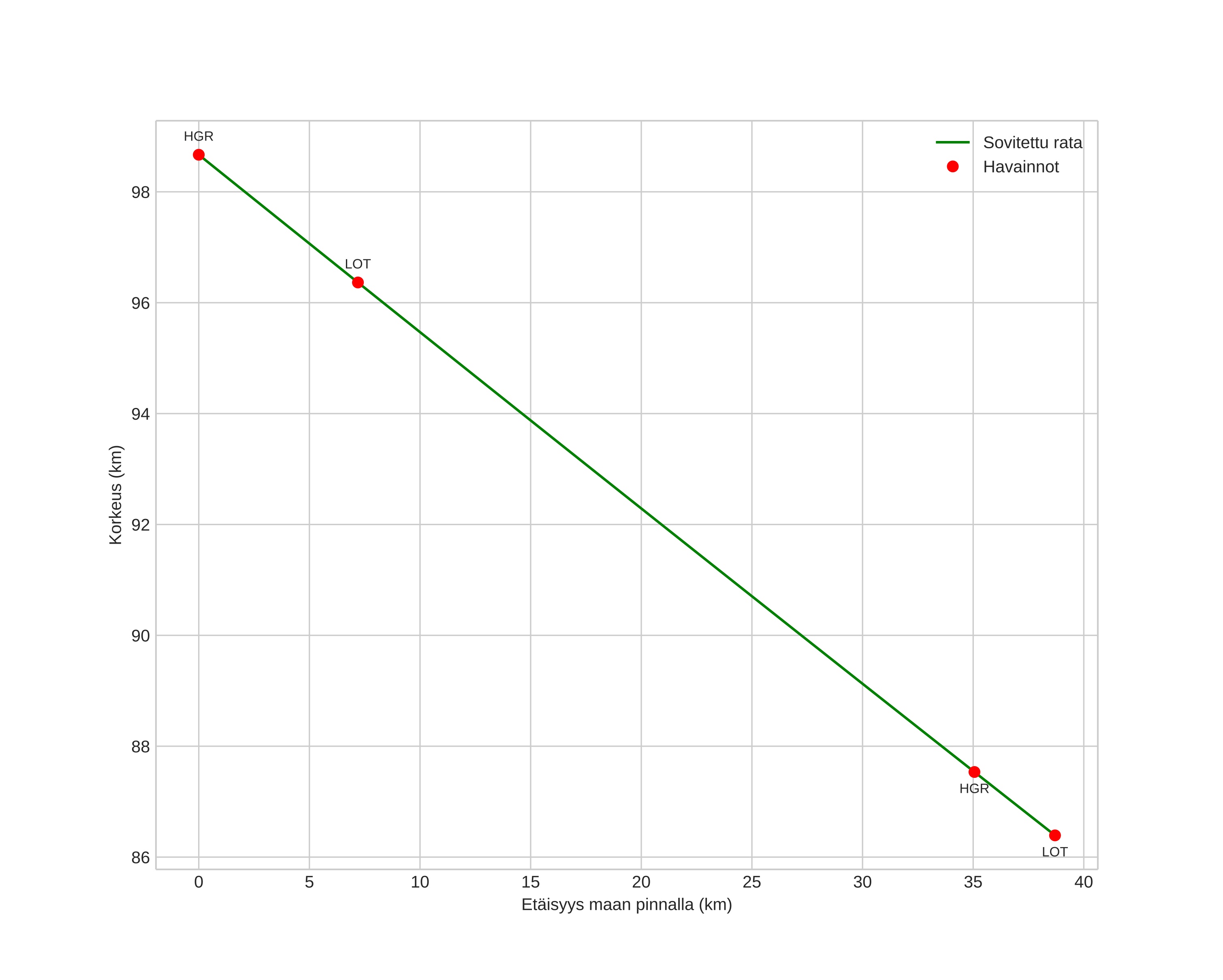
height profile
Meteorin ilmakehärata:
Alkukorkeus: 98,7 km
Loppukorkeus: 86,4 km
Alkupiste: 58,480N 12,472E
Loppupiste: 58,737N 12,921E
Suunta: 42,0°
Kallistuskulma: 17,6°
Tulonopeus: 40,6 km/s
Radiantin R,A,: 12:31 (187,9°)
Radiantin Dekl,: -7,8°
Meteoriparvi: Sporadinen
Meteoroidin rataelementit:
Perihelietäisyys: 0,170 AU
Eksentrisyys: 0,971
Inklinaatio: 9,1°
Nousevan solmun pituus: 171,2°
Perihelin argumentti: 133,0°
Keskianomalia: 357,6°
Epookki: 2026 MAR 12 03:07:15
orbit plot

Ei-interaktiivinen kuvaaja | Interaktiivinen kuvaaja

position vs time
speed and acceleration

Hagar (HGR) cam4


preview
Videot:
• Gnomoninen
• Gnomoninen koordinaateilla
• Alkuperäinen
• Alkuperäinen koordinaateilla
Kuvat:
• Gnomoninen
• Gnomoninen koordinaateilla
• Alkuperäinen
• Alkuperäinen koordinaateilla
Tekstitiedostot:
• Havaintoraportti
• Observaatio
• Koordinaatit
• Loki
Kirkkaus

Loten (LOT) cam3


preview
Videot:
• Gnomoninen
• Gnomoninen koordinaateilla
• Alkuperäinen
• Alkuperäinen koordinaateilla
Kuvat:
• Gnomoninen
• Gnomoninen koordinaateilla
• Alkuperäinen
• Alkuperäinen koordinaateilla
Tekstitiedostot:
• Havaintoraportti
• Observaatio
• Koordinaatit
• Loki
Kirkkaus