🇳🇴 🇬🇧 🇩🇪 🇨🇿 🇫🇮

Meteor over Lidköping 2026-03-12 03:07:15 UTC

KML-fil  |  Interaktivt kart

Kartet viser peilingene for meteoren. De lysere linjene viser retningene fra observasjonsstedene for meteorens tilsynekomst, og de mørkere linjene viser hvor den sist kunne sees. Den blå pila viser meteorens synlige ferd.

static map
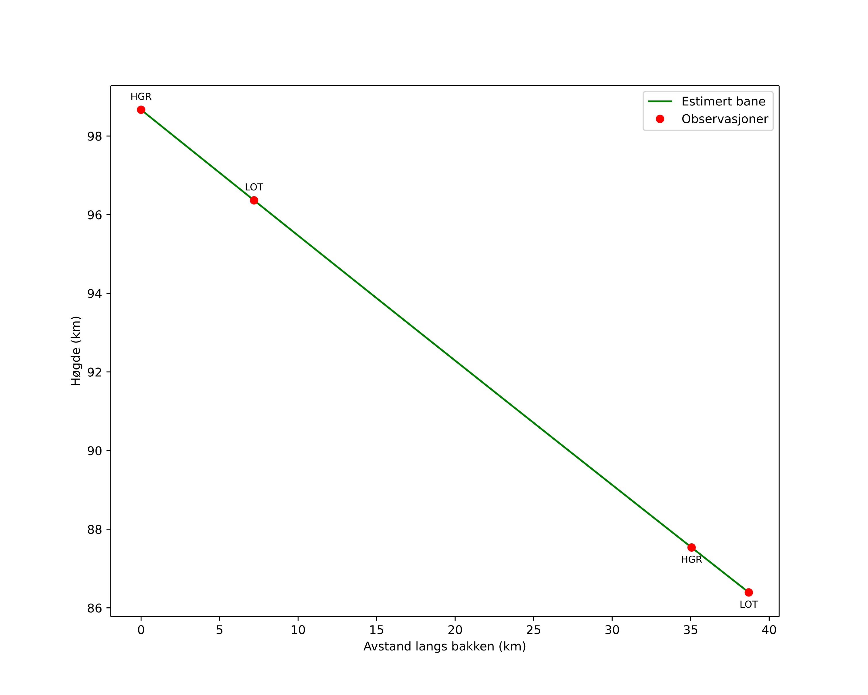
height profile
Meteorens atmosfæriske bane:
Starthøgde: 98,7 km
Slutthøgde: 86,4 km
Startposisjon: 58,480N 12,472E
Sluttposisjon: 58,737N 12,921E
Retning: 42,0°
Fallvinkel: 17,6°
Inngangshastighet: 40,6 km/s
Radiantens rektascensjon: 12:31 (187,9°)
Radiantens deklinasjon: -7,8°
Meteorsverm: sporadisk
Meteoroidens baneelement:
Perihelavstand: 0,170 AU
Eksentrisitet: 0,971
Inklinasjon: 9,1°
Knutelengde: 171,2°
Perihelargument: 133,0°
Midlere anomali: 357,6°
Epoke: 2026 MAR 12 03:07:15
orbit plot

Ikke-interaktivt plott | Interaktivt plott

position vs time
speed and acceleration

Hagar (HGR) cam4


preview
Videoer
• Gnomonisk
• Gnomonisk med koordinater
• Original
• Original med koordinater
Bilder
• Gnomonisk
• Gnomonisk med koordinater
• Original
• Original med koordinater
Tekstfiler
• Deteksjon
• Observasjon
• Koordinater
• Logg
Lysstyrke

Loten (LOT) cam3


preview
Videoer
• Gnomonisk
• Gnomonisk med koordinater
• Original
• Original med koordinater
Bilder
• Gnomonisk
• Gnomonisk med koordinater
• Original
• Original med koordinater
Tekstfiler
• Deteksjon
• Observasjon
• Koordinater
• Logg
Lysstyrke