🇳🇴 🇬🇧 🇩🇪 🇨🇿 🇫🇮

Meteor, poloha: Bjørkelangen 2026-03-21 02:43:56 UTC

Soubor KML  |  Interaktivní mapa

Mapa zobrazuje dráhy meteoru. Světlejší čáry ukazují směry od pozorovacích stanic při objevení se meteoru a tmavší čáry, kde byl naposledy viděn. Modrá šipka značí viditelnou dráhu meteoru.

static map
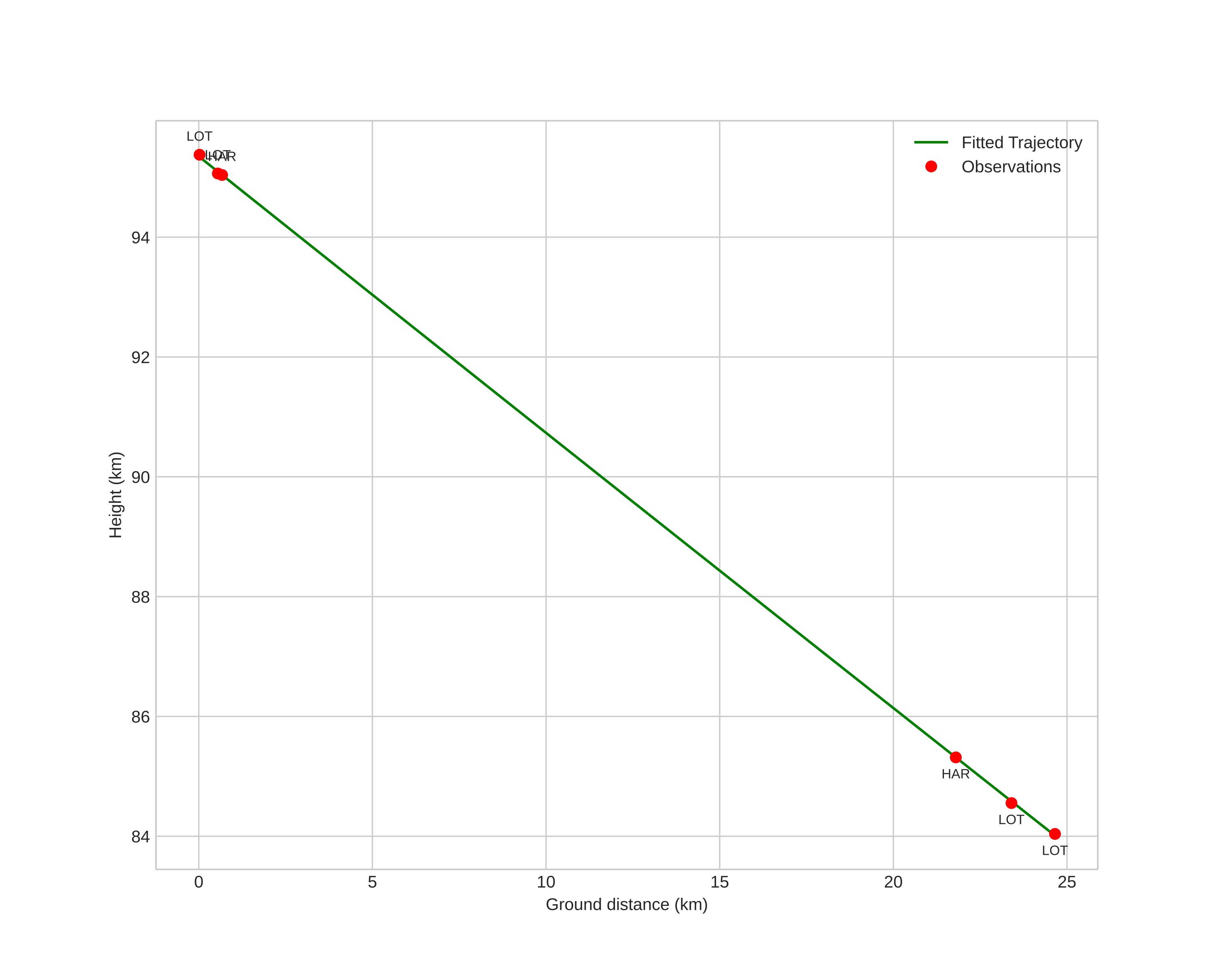
height profile
Meteor's Atmospheric Trajectory:
Start height: 95,3 km
End height: 84,0 km
Start position: 59,561N 11,545E
End position: 59,760N 11,739E
Direction: 26,1°
Inclination angle: 24,6°
Entry speed: 44,9 km/s
Radiant R,A,: 13:46 (206,7°)
Radiant Dec,: -4,1°
Meteor Shower: sporadic
Meteoroid's Orbital Elements:
Perihelion distance: 0,080 AU
Eccentricity: 0,985
Inclination: 24,2°
Long, of Asc, Node: 0,1°
Argument of Perihelion: 328,6°
Mean Anomaly: 357,6°
Epoch: 2026 MAR 21 02:43:56
orbit plot

Neinteraktivní graf | Interaktivní graf

position vs time
speed and acceleration