🇳🇴 🇬🇧 🇩🇪 🇨🇿 🇫🇮

Meteor Bjørkelangenin yllä 2026-03-21 02:43:56 UTC

KML-tiedosto  |  Interaktiivinen kartta

Kartta näyttää meteorin suuntahavainnot. Vaaleammat viivat näyttävät suunnat havaintoasemilta meteorin ilmestyessä, ja tummemmat viivat näyttävät, missä se viimeksi nähtiin. Sininen nuoli näyttää meteorin näkyvän lennon.

static map
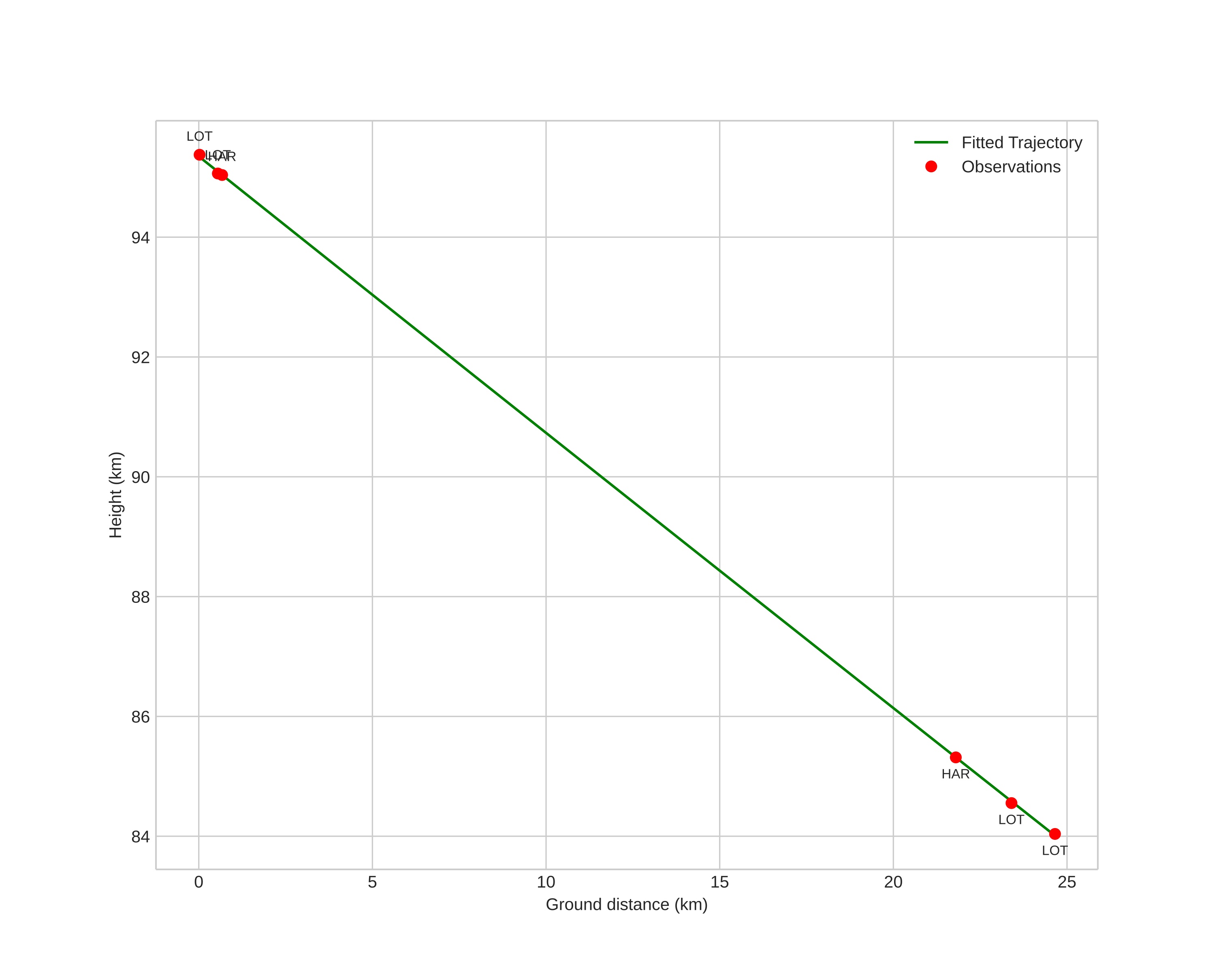
height profile
Meteor's Atmospheric Trajectory:
Start height: 95,3 km
End height: 84,0 km
Start position: 59,561N 11,545E
End position: 59,760N 11,739E
Direction: 26,1°
Inclination angle: 24,6°
Entry speed: 44,9 km/s
Radiant R,A,: 13:46 (206,7°)
Radiant Dec,: -4,1°
Meteor Shower: sporadic
Meteoroid's Orbital Elements:
Perihelion distance: 0,080 AU
Eccentricity: 0,985
Inclination: 24,2°
Long, of Asc, Node: 0,1°
Argument of Perihelion: 328,6°
Mean Anomaly: 357,6°
Epoch: 2026 MAR 21 02:43:56
orbit plot

Ei-interaktiivinen kuvaaja | Interaktiivinen kuvaaja

position vs time
speed and acceleration

Harestua (HAR) cam7


preview
Videos:
• Gnomonic
• Gnomonic with coordinates
• Original
• Original with coordinates
Images:
• Gnomonic
• Gnomonic with coordinates
• Original
• Original with coordinates
Text Files:
• Detection
• Observation
• Coordinates
• Log
Brightness

Loten (LOT) cam3


preview
Videos:
• Gnomonic
• Gnomonic with coordinates
• Original
• Original with coordinates
Images:
• Gnomonic
• Gnomonic with coordinates
• Original
• Original with coordinates
Text Files:
• Detection
• Observation
• Coordinates
• Log
Brightness

Loten (LOT) cam4


preview
Videos:
• Gnomonic
• Gnomonic with coordinates
• Original
• Original with coordinates
Images:
• Gnomonic
• Gnomonic with coordinates
• Original
• Original with coordinates
Text Files:
• Detection
• Observation
• Coordinates
• Log
Brightness