🇳🇴 🇬🇧 🇩🇪 🇨🇿 🇫🇮

Meteor, poloha: Torsby 2026-03-21 23:58:54 UTC

Soubor KML  |  Interaktivní mapa

Mapa zobrazuje dráhy meteoru. Světlejší čáry ukazují směry od pozorovacích stanic při objevení se meteoru a tmavší čáry, kde byl naposledy viděn. Modrá šipka značí viditelnou dráhu meteoru.

static map
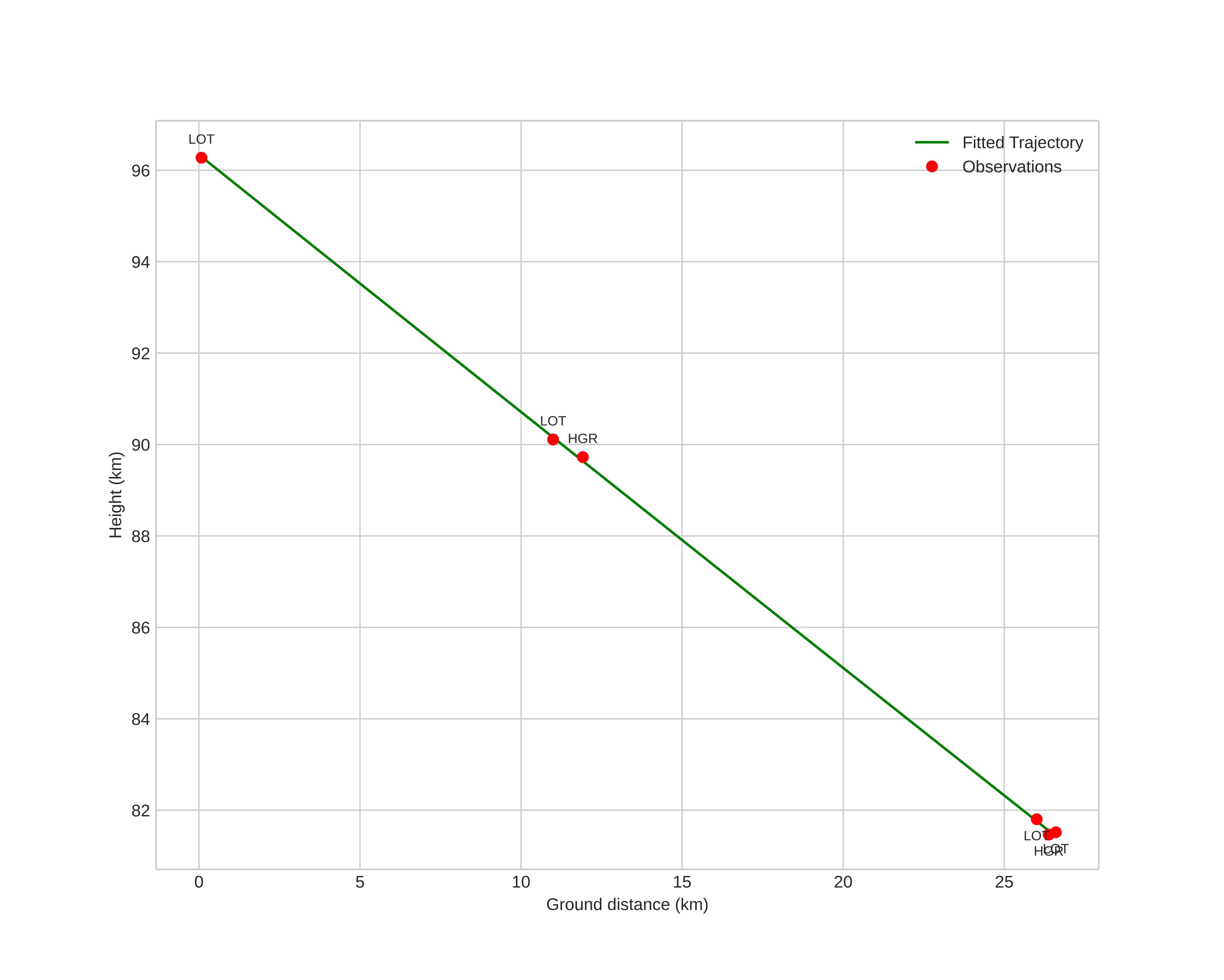
height profile
wind profile
Meteor's Atmospheric Trajectory:
Start height: 96,3 km
End height: 81,5 km
Start position: 60,444N 12,893E
End position: 60,678N 12,991E
Direction: 11,5°
Inclination angle: 29,1°
Entry speed: 26,5 km/s
Radiant R,A,: 12:03 (180,9°)
Radiant Dec,: -3,0°
Meteor Shower: sporadic
Meteoroid's Orbital Elements:
Perihelion distance: 0,547 AU
Eccentricity: 0,781
Inclination: 2,0°
Long, of Asc, Node: 181,0°
Argument of Perihelion: 91,6°
Mean Anomaly: 348,9°
Epoch: 2026 MAR 21 23:58:54
orbit plot

Neinteraktivní graf | Interaktivní graf

position vs time
speed and acceleration