🇳🇴 🇬🇧 🇩🇪 🇨🇿 🇫🇮

Meteor über Torsby 2026-03-21 23:58:54 UTC

KML-Datei  |  Interaktive Karte

Die Karte zeigt die Peilungen für den Meteor. Die helleren Linien zeigen die Richtungen von den Beobachtungsorten beim Erscheinen des Meteors, und die dunkleren Linien, wo er zuletzt gesehen wurde. Der blaue Pfeil zeigt die sichtbare Bahn des Meteors.

static map
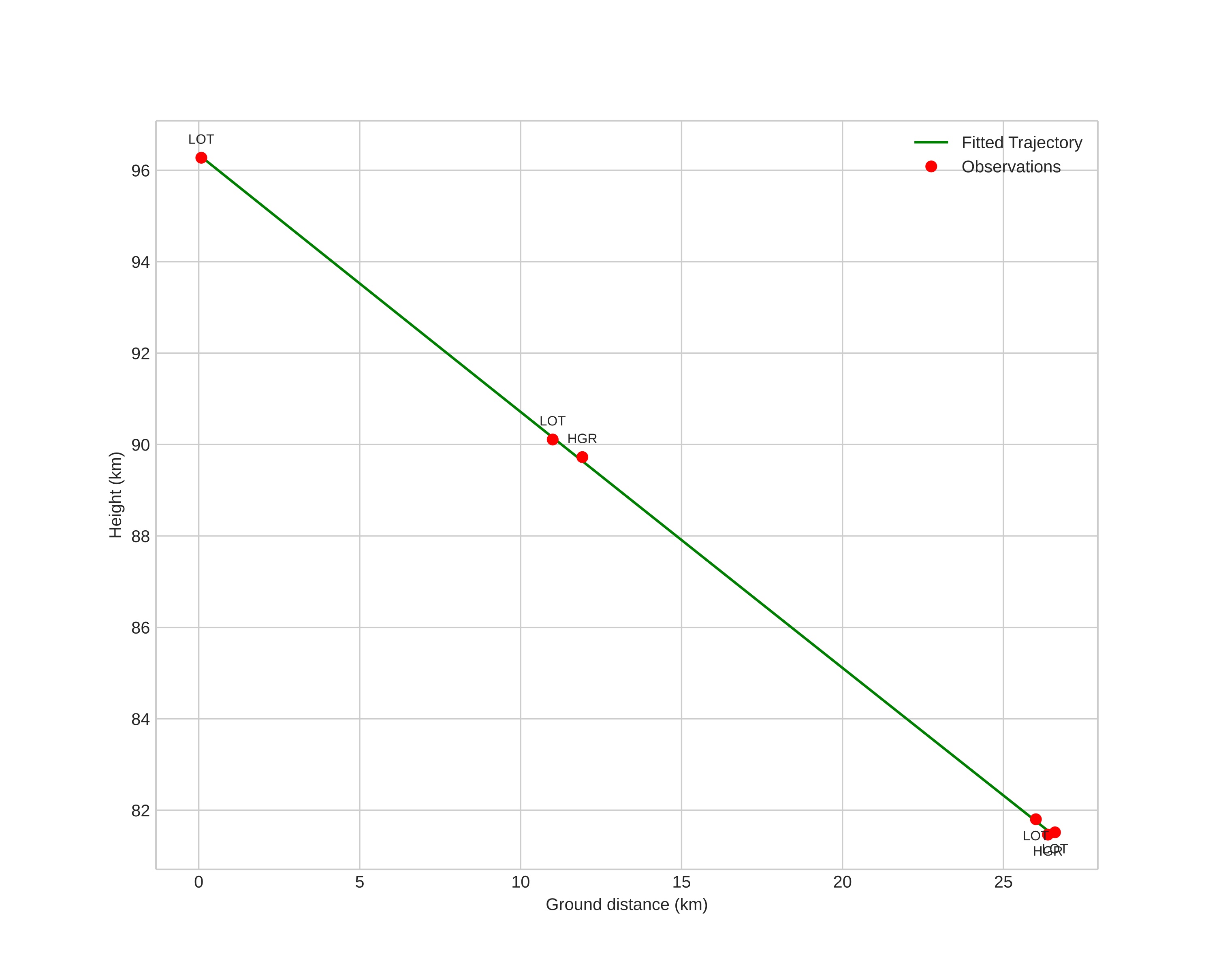
height profile
wind profile
Meteor's Atmospheric Trajectory:
Start height: 96,3 km
End height: 81,5 km
Start position: 60,444N 12,893E
End position: 60,678N 12,991E
Direction: 11,5°
Inclination angle: 29,1°
Entry speed: 26,5 km/s
Radiant R,A,: 12:03 (180,9°)
Radiant Dec,: -3,0°
Meteor Shower: sporadic
Meteoroid's Orbital Elements:
Perihelion distance: 0,547 AU
Eccentricity: 0,781
Inclination: 2,0°
Long, of Asc, Node: 181,0°
Argument of Perihelion: 91,6°
Mean Anomaly: 348,9°
Epoch: 2026 MAR 21 23:58:54
orbit plot

Nicht-interaktives Diagramm | Interaktives Diagramm

position vs time
speed and acceleration

Hagar (HGR) cam3


preview
Videos:
• Gnomonic
• Gnomonic with coordinates
• Original
• Original with coordinates
Images:
• Gnomonic
• Gnomonic with coordinates
• Original
• Original with coordinates
Text Files:
• Detection
• Observation
• Coordinates
• Log
Brightness

Loten (LOT) cam2


preview
Videos:
• Gnomonic
• Gnomonic with coordinates
• Original
• Original with coordinates
Images:
• Gnomonic
• Gnomonic with coordinates
• Original
• Original with coordinates
Text Files:
• Detection
• Observation
• Coordinates
• Log
Brightness

Loten (LOT) cam7


preview
Videos:
• Gnomonic
• Gnomonic with coordinates
• Original
• Original with coordinates
Images:
• Gnomonic
• Gnomonic with coordinates
• Original
• Original with coordinates
Text Files:
• Detection
• Observation
• Coordinates
• Log
Brightness