🇳🇴 🇬🇧 🇩🇪 🇨🇿 🇫🇮

Meteor, poloha: Fyresdal 2026-03-25 21:57:20 UTC

Soubor KML  |  Interaktivní mapa

Mapa zobrazuje dráhy meteoru. Světlejší čáry ukazují směry od pozorovacích stanic při objevení se meteoru a tmavší čáry, kde byl naposledy viděn. Modrá šipka značí viditelnou dráhu meteoru.

static map
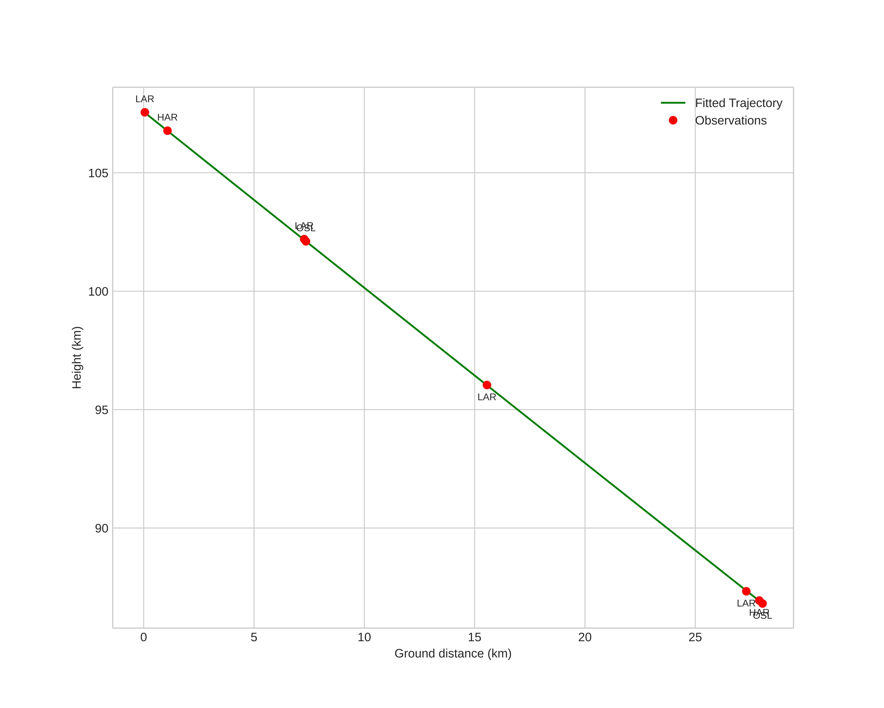
height profile
Meteor's Atmospheric Trajectory:
Start height: 107,6 km
End height: 86,8 km
Start position: 59,291N 8,513E
End position: 59,159N 8,092E
Direction: 238,6°
Inclination angle: 36,6°
Entry speed: 46,4 km/s
Radiant R,A,: 17:05 (256,3°)
Radiant Dec,: 46,1°
Meteor Shower: sporadic
Meteoroid's Orbital Elements:
Perihelion distance: 0,969 AU
Eccentricity: 1,297
Inclination: 69,4°
Long, of Asc, Node: 4,9°
Argument of Perihelion: 198,4°
Mean Anomaly: -2,0°
Epoch: 2026 MAR 25 21:57:20
orbit plot

Neinteraktivní graf | Interaktivní graf

position vs time
speed and acceleration