🇳🇴 🇬🇧 🇩🇪 🇨🇿 🇫🇮

Meteor über Fyresdal 2026-03-25 21:57:20 UTC

KML-Datei  |  Interaktive Karte

Die Karte zeigt die Peilungen für den Meteor. Die helleren Linien zeigen die Richtungen von den Beobachtungsorten beim Erscheinen des Meteors, und die dunkleren Linien, wo er zuletzt gesehen wurde. Der blaue Pfeil zeigt die sichtbare Bahn des Meteors.

static map
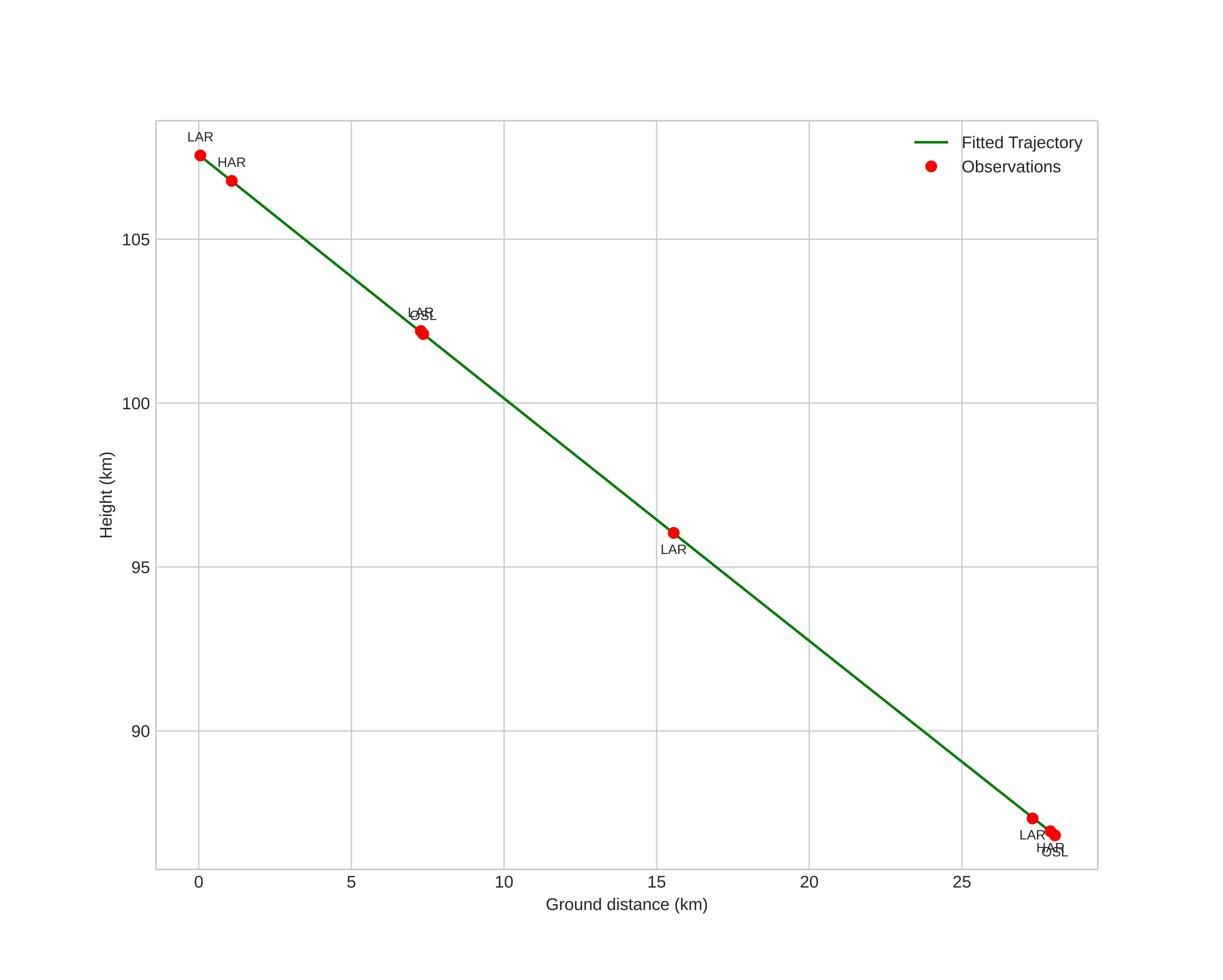
height profile
Meteor's Atmospheric Trajectory:
Start height: 107,6 km
End height: 86,8 km
Start position: 59,291N 8,513E
End position: 59,159N 8,092E
Direction: 238,6°
Inclination angle: 36,6°
Entry speed: 46,4 km/s
Radiant R,A,: 17:05 (256,3°)
Radiant Dec,: 46,1°
Meteor Shower: sporadic
Meteoroid's Orbital Elements:
Perihelion distance: 0,969 AU
Eccentricity: 1,297
Inclination: 69,4°
Long, of Asc, Node: 4,9°
Argument of Perihelion: 198,4°
Mean Anomaly: -2,0°
Epoch: 2026 MAR 25 21:57:20
orbit plot

Nicht-interaktives Diagramm | Interaktives Diagramm

position vs time
speed and acceleration

Harestua (HAR) cam4


preview
Videos:
• Gnomonic
• Gnomonic with coordinates
• Original
• Original with coordinates
Images:
• Gnomonic
• Gnomonic with coordinates
• Original
• Original with coordinates
Text Files:
• Detection
• Observation
• Coordinates
• Log
Brightness

Larvik (LAR) cam5


preview
Videos:
• Gnomonic
• Gnomonic with coordinates
• Original
• Original with coordinates
Images:
• Gnomonic
• Gnomonic with coordinates
• Original
• Original with coordinates
Text Files:
• Detection
• Observation
• Coordinates
• Log
Brightness

Larvik (LAR) cam6


preview
Videos:
• Gnomonic
• Gnomonic with coordinates
• Original
• Original with coordinates
Images:
• Gnomonic
• Gnomonic with coordinates
• Original
• Original with coordinates
Text Files:
• Detection
• Observation
• Coordinates
• Log
Brightness

Voksenlia (OSL) cam3


preview
Videos:
• Gnomonic
• Gnomonic with coordinates
• Original
• Original with coordinates
Images:
• Gnomonic
• Gnomonic with coordinates
• Original
• Original with coordinates
Text Files:
• Detection
• Observation
• Coordinates
• Log
Brightness