🇳🇴 🇬🇧 🇩🇪 🇨🇿 🇫🇮

Meteor, poloha: Hönö 2026-03-27 00:06:37 UTC

Soubor KML  |  Interaktivní mapa

Mapa zobrazuje dráhy meteoru. Světlejší čáry ukazují směry od pozorovacích stanic při objevení se meteoru a tmavší čáry, kde byl naposledy viděn. Modrá šipka značí viditelnou dráhu meteoru.

static map
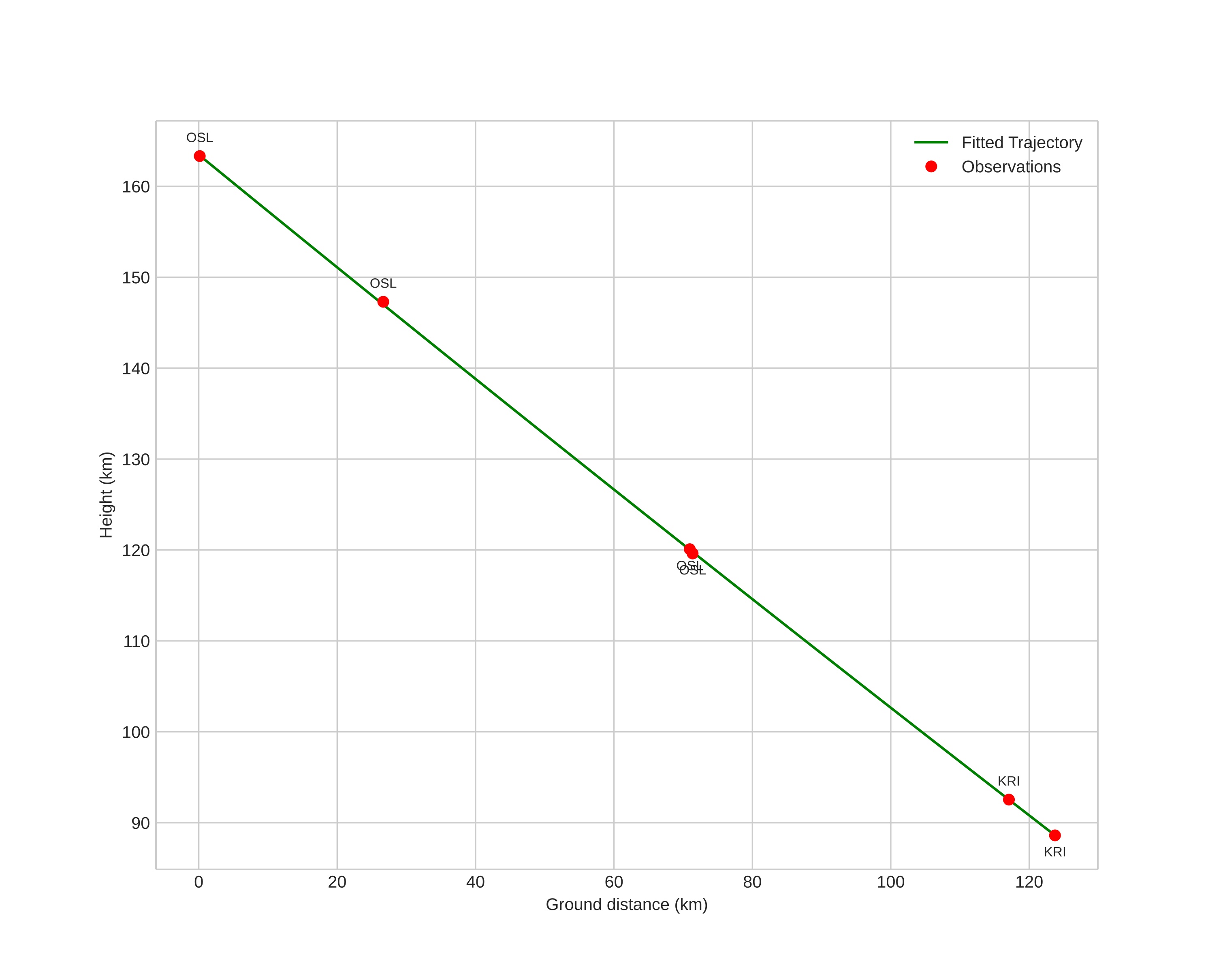
height profile
Meteor's Atmospheric Trajectory:
Start height: 163,5 km
End height: 88,6 km
Start position: 57,915N 9,560E
End position: 57,445N 11,446E
Direction: 114,2°
Inclination angle: 31,2°
Entry speed: 20,5 km/s
Radiant R,A,: 06:38 (99,6°)
Radiant Dec,: 33,9°
Meteor Shower: sporadic
Meteoroid's Orbital Elements:
Perihelion distance: 0,998 AU
Eccentricity: 1,502
Inclination: 4,0°
Long, of Asc, Node: 6,0°
Argument of Perihelion: 180,3°
Mean Anomaly: -0,1°
Epoch: 2026 MAR 27 00:06:37
orbit plot

Neinteraktivní graf | Interaktivní graf

position vs time
speed and acceleration

Kristiansand (KRI) cam3


preview
Videos:
Gnomonic
Gnomonic with coordinates
Original
Original with coordinates
Images:
Gnomonic
Gnomonic with coordinates
Original
Original with coordinates
Text Files:
Detection
Observation
Coordinates
Log
Brightness