🇳🇴 🇬🇧 🇩🇪 🇨🇿 🇫🇮

Meteor Hönöin yllä 2026-03-27 00:06:37 UTC

KML-tiedosto  |  Interaktiivinen kartta

Kartta näyttää meteorin suuntahavainnot. Vaaleammat viivat näyttävät suunnat havaintoasemilta meteorin ilmestyessä, ja tummemmat viivat näyttävät, missä se viimeksi nähtiin. Sininen nuoli näyttää meteorin näkyvän lennon.

static map
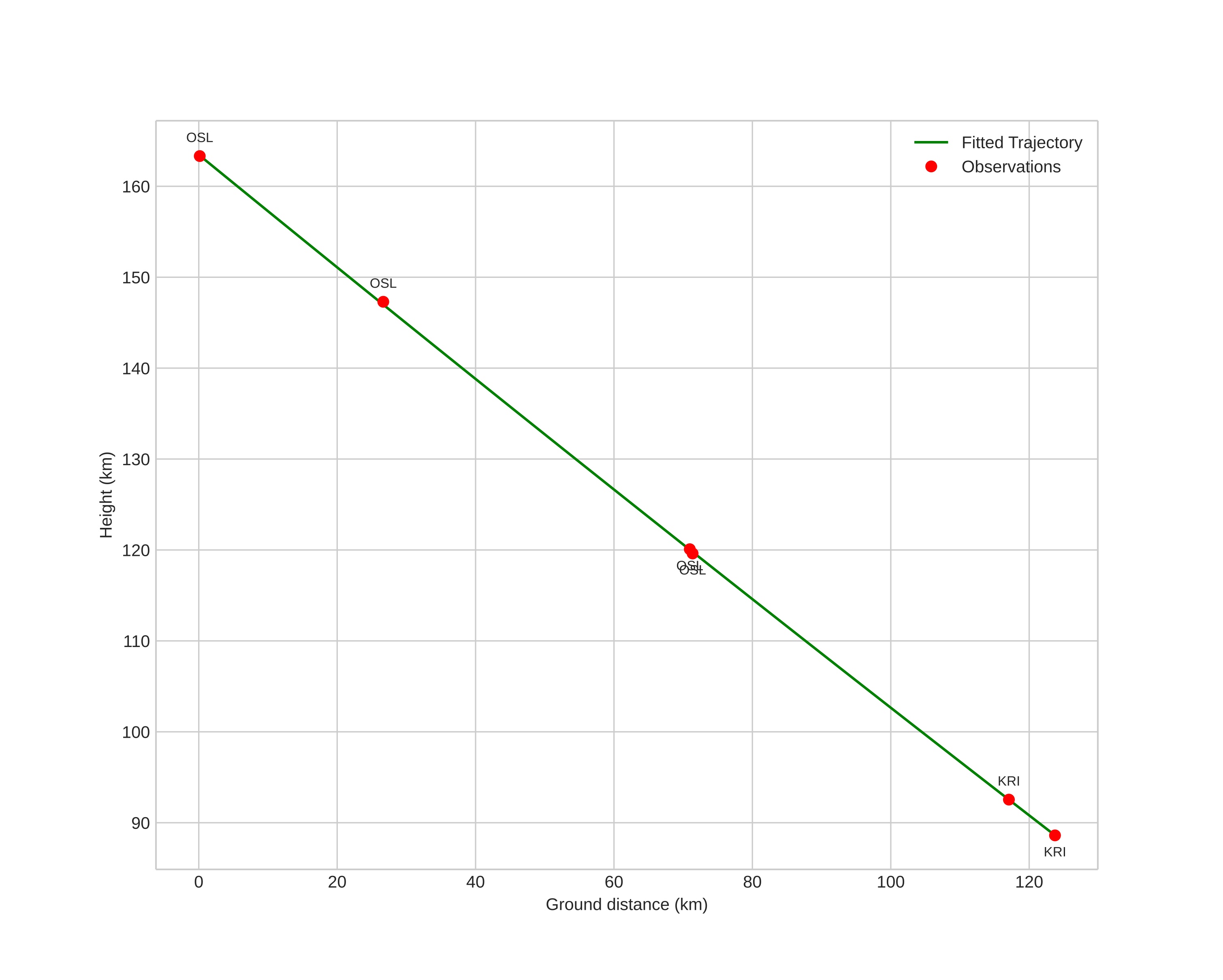
height profile
Meteor's Atmospheric Trajectory:
Start height: 163,5 km
End height: 88,6 km
Start position: 57,915N 9,560E
End position: 57,445N 11,446E
Direction: 114,2°
Inclination angle: 31,2°
Entry speed: 20,5 km/s
Radiant R,A,: 06:38 (99,6°)
Radiant Dec,: 33,9°
Meteor Shower: sporadic
Meteoroid's Orbital Elements:
Perihelion distance: 0,998 AU
Eccentricity: 1,502
Inclination: 4,0°
Long, of Asc, Node: 6,0°
Argument of Perihelion: 180,3°
Mean Anomaly: -0,1°
Epoch: 2026 MAR 27 00:06:37
orbit plot

Ei-interaktiivinen kuvaaja | Interaktiivinen kuvaaja

position vs time
speed and acceleration

Kristiansand (KRI) cam3


preview
Videos:
• Gnomonic
• Gnomonic with coordinates
• Original
• Original with coordinates
Images:
• Gnomonic
• Gnomonic with coordinates
• Original
• Original with coordinates
Text Files:
• Detection
• Observation
• Coordinates
• Log
Brightness

Voksenlia (OSL) cam3


preview
Videos:
• Gnomonic
• Gnomonic with coordinates
• Original
• Original with coordinates
Images:
• Gnomonic
• Gnomonic with coordinates
• Original
• Original with coordinates
Text Files:
• Detection
• Observation
• Coordinates
• Log
Brightness

Voksenlia (OSL) cam4


preview
Videos:
• Gnomonic
• Gnomonic with coordinates
• Original
• Original with coordinates
Images:
• Gnomonic
• Gnomonic with coordinates
• Original
• Original with coordinates
Text Files:
• Detection
• Observation
• Coordinates
• Log
Brightness