🇳🇴 🇬🇧 🇩🇪 🇨🇿 🇫🇮

Meteor, poloha: Mjøndalen 2026-03-29 00:56:58 UTC

Soubor KML  |  Interaktivní mapa

Mapa zobrazuje dráhy meteoru. Světlejší čáry ukazují směry od pozorovacích stanic při objevení se meteoru a tmavší čáry, kde byl naposledy viděn. Modrá šipka značí viditelnou dráhu meteoru.

static map
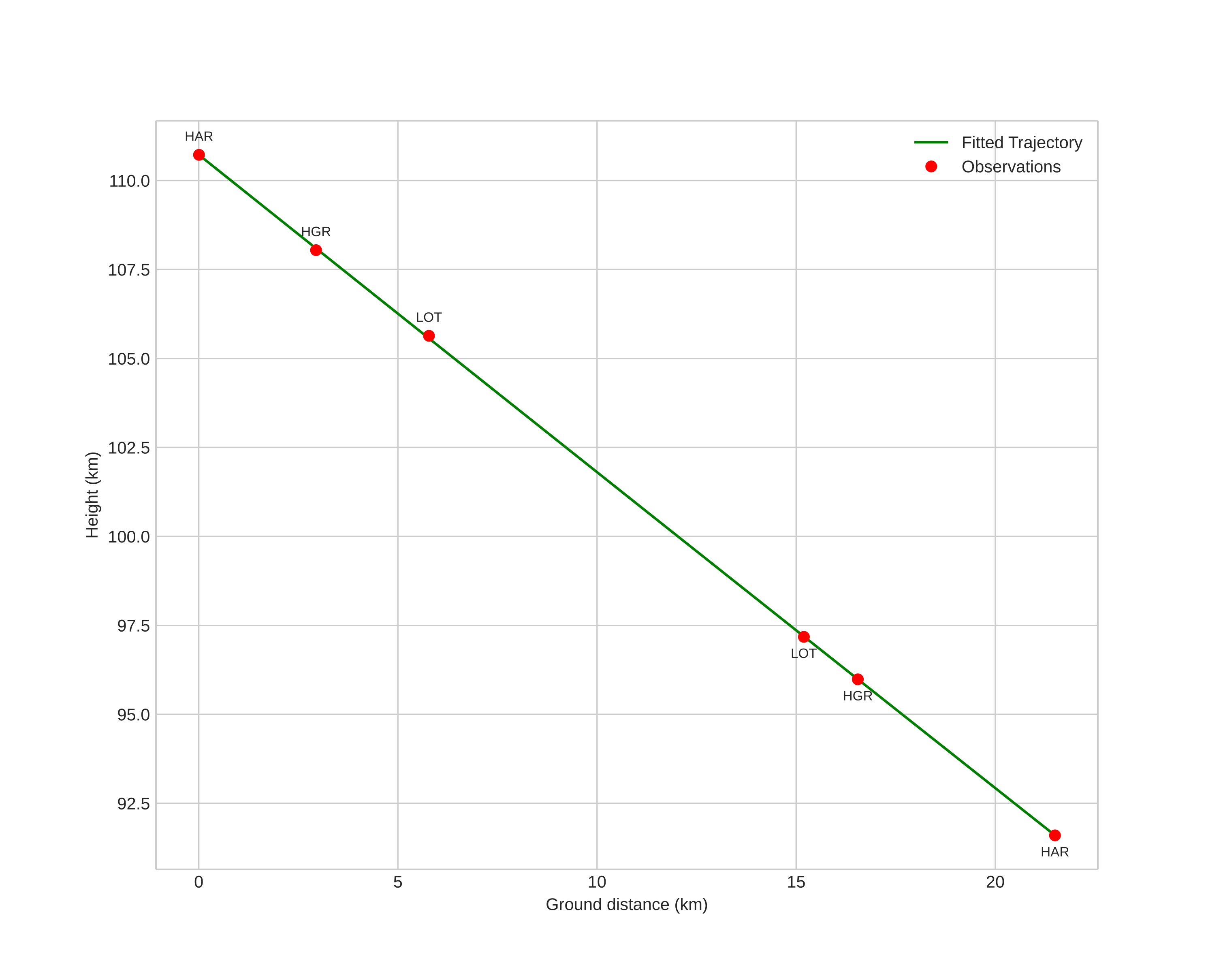
height profile
wind profile
Meteor's Atmospheric Trajectory:
Start height: 110,7 km
End height: 91,6 km
Start position: 59,755N 10,474E
End position: 59,807N 10,104E
Direction: 285,7°
Inclination angle: 41,6°
Entry speed: 59,5 km/s
Radiant R,A,: 17:42 (265,6°)
Radiant Dec,: 27,8°
Meteor Shower: sporadic
Meteoroid's Orbital Elements:
Perihelion distance: 0,970 AU
Eccentricity: 1,424
Inclination: 97,1°
Long, of Asc, Node: 8,0°
Argument of Perihelion: 197,9°
Mean Anomaly: -3,2°
Epoch: 2026 MAR 29 00:56:58
orbit plot

Neinteraktivní graf | Interaktivní graf

position vs time
speed and acceleration