🇳🇴 🇬🇧 🇩🇪 🇨🇿 🇫🇮

Meteor Mjøndalenin yllä 2026-03-29 00:56:58 UTC

KML-tiedosto  |  Interaktiivinen kartta

Kartta näyttää meteorin suuntahavainnot. Vaaleammat viivat näyttävät suunnat havaintoasemilta meteorin ilmestyessä, ja tummemmat viivat näyttävät, missä se viimeksi nähtiin. Sininen nuoli näyttää meteorin näkyvän lennon.

static map
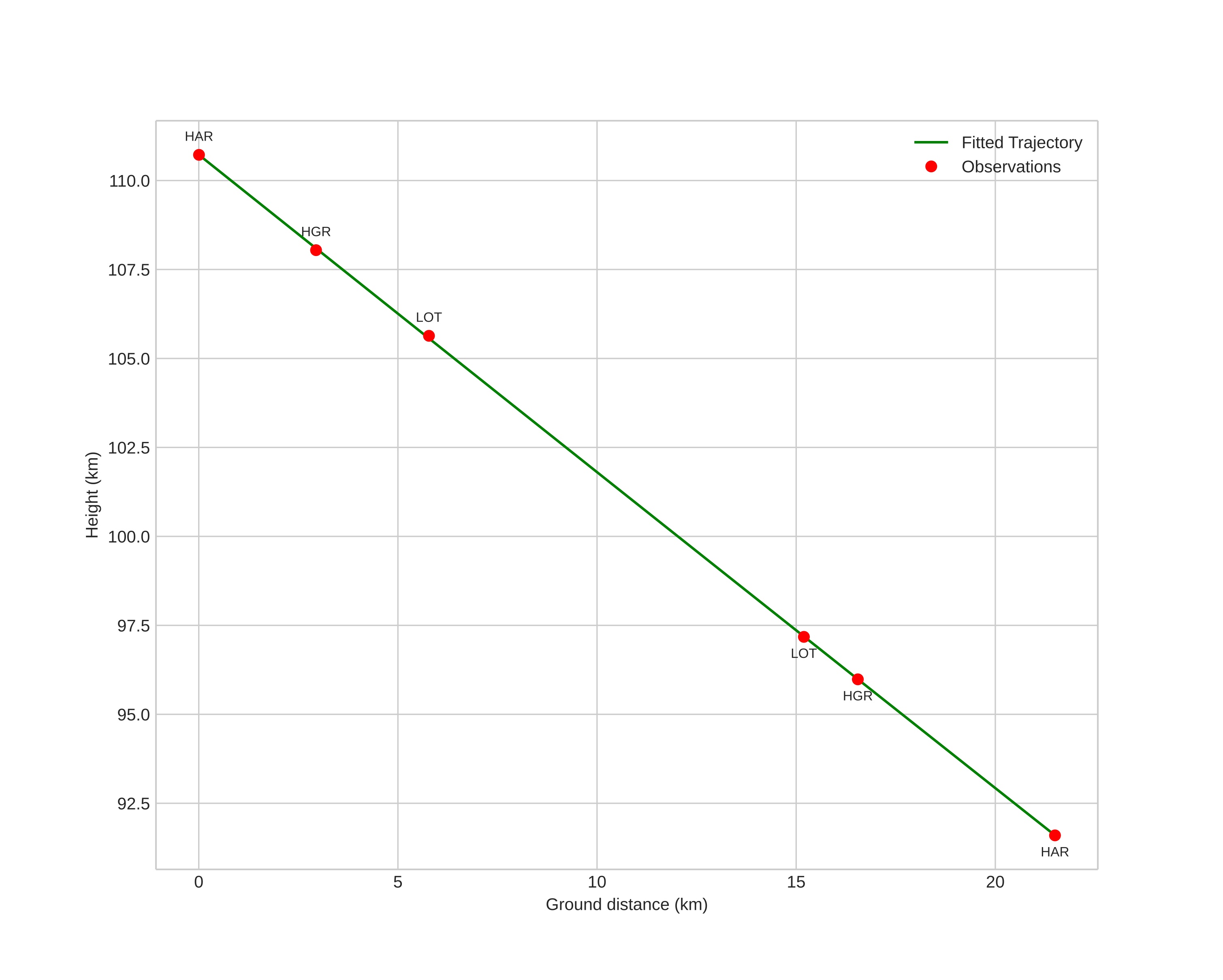
height profile
wind profile
Meteor's Atmospheric Trajectory:
Start height: 110,7 km
End height: 91,6 km
Start position: 59,755N 10,474E
End position: 59,807N 10,104E
Direction: 285,7°
Inclination angle: 41,6°
Entry speed: 59,5 km/s
Radiant R,A,: 17:42 (265,6°)
Radiant Dec,: 27,8°
Meteor Shower: sporadic
Meteoroid's Orbital Elements:
Perihelion distance: 0,970 AU
Eccentricity: 1,424
Inclination: 97,1°
Long, of Asc, Node: 8,0°
Argument of Perihelion: 197,9°
Mean Anomaly: -3,2°
Epoch: 2026 MAR 29 00:56:58
orbit plot

Ei-interaktiivinen kuvaaja | Interaktiivinen kuvaaja

position vs time
speed and acceleration

Hagar (HGR) cam6


preview
Videos:
• Gnomonic
• Gnomonic with coordinates
• Original
• Original with coordinates
Images:
• Gnomonic
• Gnomonic with coordinates
• Original
• Original with coordinates
Text Files:
• Detection
• Observation
• Coordinates
• Log
Brightness

Harestua (HAR) cam7


preview
Videos:
• Gnomonic
• Gnomonic with coordinates
• Original
• Original with coordinates
Images:
• Gnomonic
• Gnomonic with coordinates
• Original
• Original with coordinates
Text Files:
• Detection
• Observation
• Coordinates
• Log
Brightness

Loten (LOT) cam7


preview
Videos:
• Gnomonic
• Gnomonic with coordinates
• Original
• Original with coordinates
Images:
• Gnomonic
• Gnomonic with coordinates
• Original
• Original with coordinates
Text Files:
• Detection
• Observation
• Coordinates
• Log
Brightness