🇳🇴 🇬🇧 🇩🇪 🇨🇿 🇫🇮

Meteor over Grua 2026-03-31 00:57:06 UTC

KML-fil  |  Interaktivt kart

Kartet viser peilingene for meteoren. De lysere linjene viser retningene fra observasjonsstedene for meteorens tilsynekomst, og de mørkere linjene viser hvor den sist kunne sees. Den blå pila viser meteorens synlige ferd.

static map
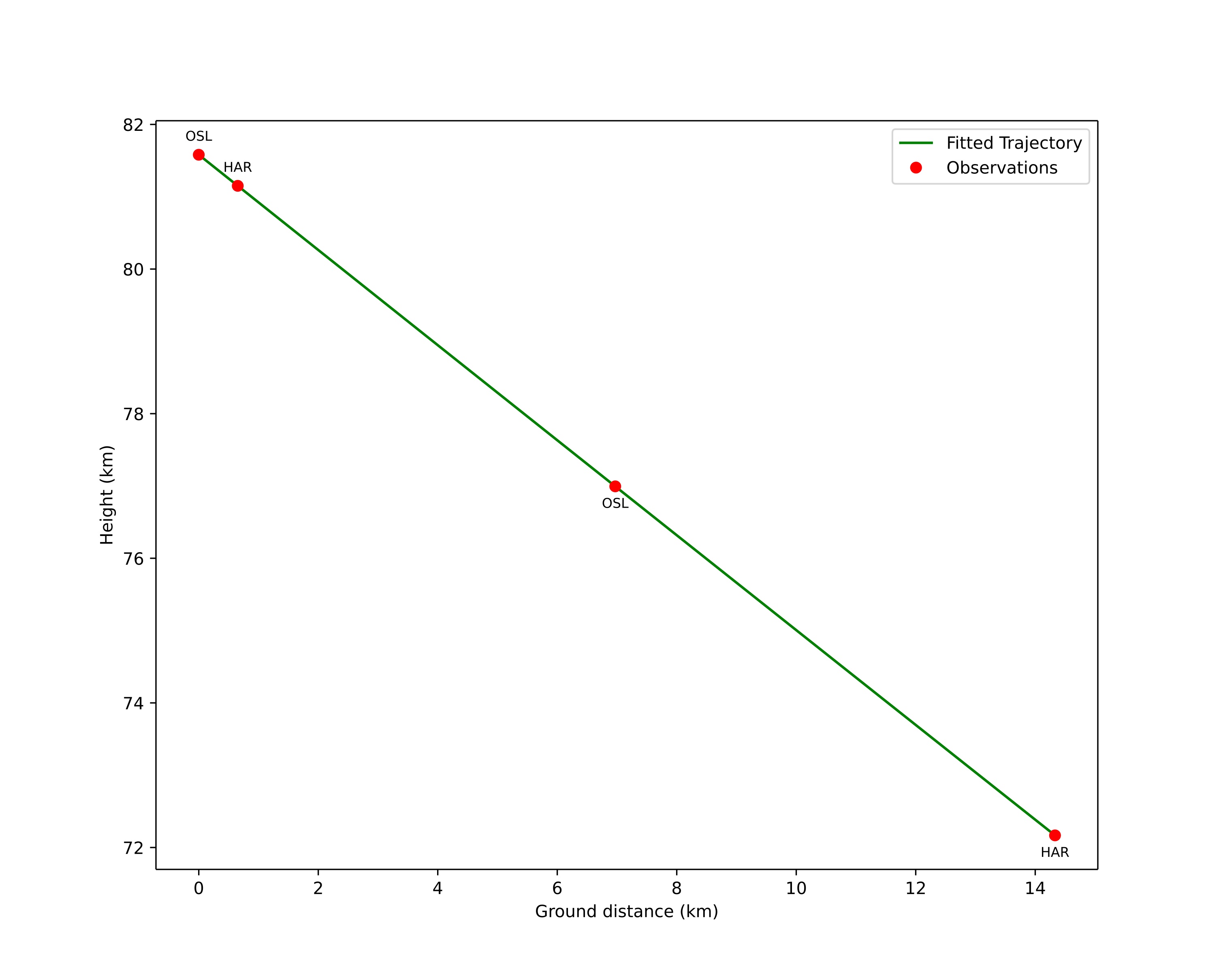
height profile
Meteor's Atmospheric Trajectory:
Start height: 81,6 km
End height: 72,2 km
Start position: 60,136N 10,470E
End position: 60,220N 10,668E
Direction: 49,8°
Inclination angle: 33,3°
Entry speed: 16,5 km/s
Radiant R,A,: 11:11 (167,9°)
Radiant Dec,: 3,6°
Meteor Shower: sporadic
Meteoroid's Orbital Elements:
Perihelion distance: 0,867 AU
Eccentricity: 0,551
Inclination: 0,5°
Long, of Asc, Node: 189,9°
Argument of Perihelion: 51,3°
Mean Anomaly: 346,4°
Epoch: 2026 MAR 31 00:57:06
orbit plot

Ikke-interaktivt plott | Interaktivt plott

position vs time
speed and acceleration

Harestua (HAR) cam7


preview
Videos:
• Gnomonic
• Gnomonic with coordinates
• Original
• Original with coordinates
Images:
• Gnomonic
• Gnomonic with coordinates
• Original
• Original with coordinates
Text Files:
• Detection
• Observation
• Coordinates
• Log
Brightness

Voksenlia (OSL) cam7


preview
Videos:
• Gnomonic
• Gnomonic with coordinates
• Original
• Original with coordinates
Images:
• Gnomonic
• Gnomonic with coordinates
• Original
• Original with coordinates
Text Files:
• Detection
• Observation
• Coordinates
• Log
Brightness