🇳🇴 🇬🇧 🇩🇪 🇨🇿 🇫🇮

Meteor, poloha: Grua 2026-03-31 00:57:06 UTC

Soubor KML  |  Interaktivní mapa

Mapa zobrazuje dráhy meteoru. Světlejší čáry ukazují směry od pozorovacích stanic při objevení se meteoru a tmavší čáry, kde byl naposledy viděn. Modrá šipka značí viditelnou dráhu meteoru.

static map
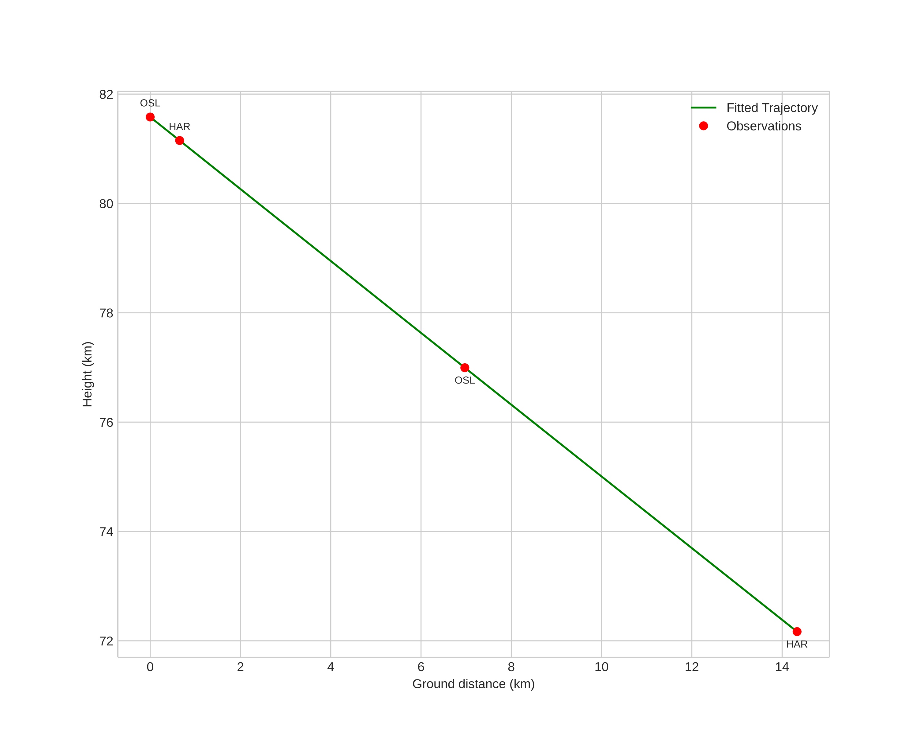
height profile
Meteor's Atmospheric Trajectory:
Start height: 81,6 km
End height: 72,2 km
Start position: 60,136N 10,470E
End position: 60,220N 10,668E
Direction: 49,8°
Inclination angle: 33,3°
Entry speed: 16,5 km/s
Radiant R,A,: 11:11 (167,9°)
Radiant Dec,: 3,6°
Meteor Shower: sporadic
Meteoroid's Orbital Elements:
Perihelion distance: 0,867 AU
Eccentricity: 0,551
Inclination: 0,5°
Long, of Asc, Node: 189,9°
Argument of Perihelion: 51,3°
Mean Anomaly: 346,4°
Epoch: 2026 MAR 31 00:57:06
orbit plot

Neinteraktivní graf | Interaktivní graf

position vs time
speed and acceleration