Kartta näyttää meteorin suuntahavainnot. Vaaleammat viivat näyttävät suunnat havaintoasemilta meteorin ilmestyessä, ja tummemmat viivat näyttävät, missä se viimeksi nähtiin. Sininen nuoli näyttää meteorin näkyvän lennon.

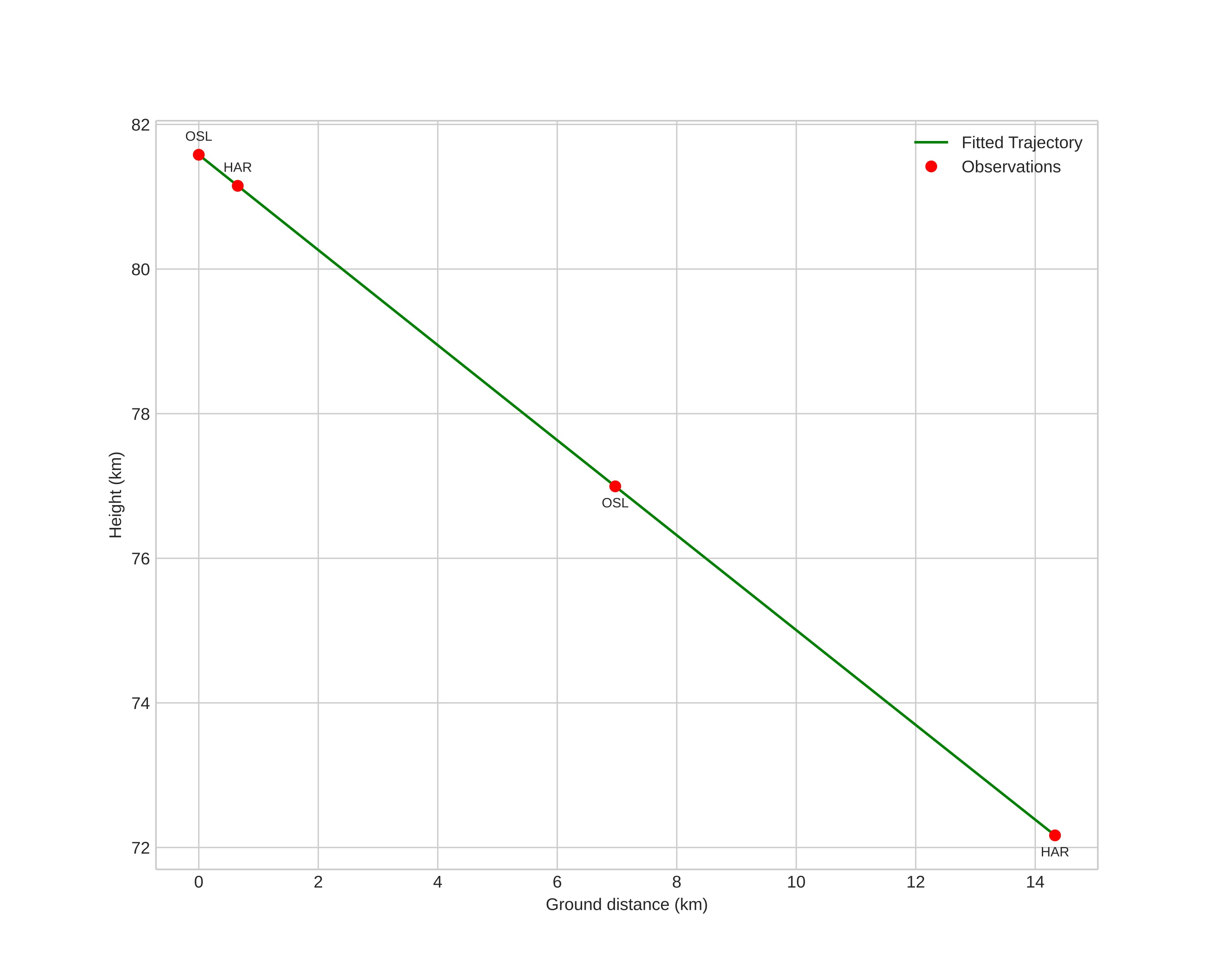
Meteor's Atmospheric Trajectory:
|
Meteoroid's Orbital Elements:
|


![]() |
![]() |
![]() |
![]() |