🇳🇴 🇬🇧 🇩🇪 🇨🇿 🇫🇮

Meteor, poloha: Porsgrunn 2026-04-07 01:16:15 UTC

Soubor KML  |  InteraktivnĂ­ mapa

Mapa zobrazuje dráhy meteoru. Světlejší čáry ukazují směry od pozorovacích stanic při objevení se meteoru a tmavší čáry, kde byl naposledy viděn. Modrá šipka značí viditelnou dráhu meteoru.

static map
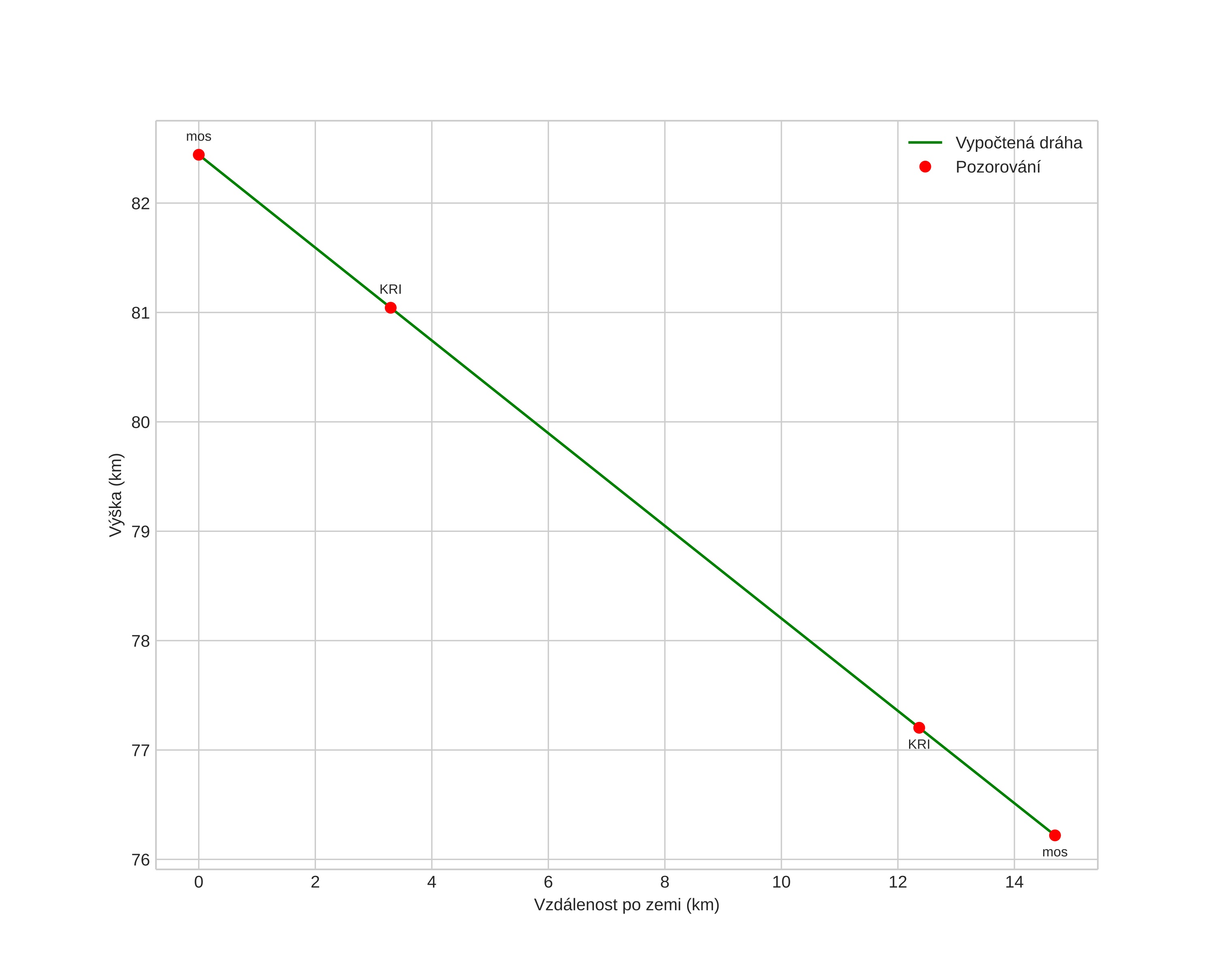
height profile
Atmosférická dráha meteoru:
Počáteční výška: 82,4 km
Konečná výška: 76,2 km
Počáteční poloha: 59,027N 9,557E
Konečná poloha: 59,128N 9,723E
Směr: 40,0°
Sklon: 22,9°
VstupnĂ­ rychlost: 17,6 km/s
Rektascenze radiantu: 12:13 (183,4°)
Deklinace radiantu: -10,5°
MeteorickĂ˝ roj: sporadickĂ˝
Elementy dráhy meteoroidu:
Vzdálenost v periheliu: 0,777 AU
Excentricita: 0,496
Sklon dráhy: 3,6°
Délka vzestupného uzlu: 196,9°
Argument perihelia: 71,0°
Střední anomálie: 335,1°
Epocha: 2026 APR 07 01:16:15
orbit plot

NeinteraktivnĂ­ graf | InteraktivnĂ­ graf

position vs time
speed and acceleration

Kristiansand (KRI) cam2


preview
Videa
• Gnomonický
• Gnomonická se souřadnicemi
• Původní
• Původní se souřadnicemi
Obrázky
• Gnomonický
• Gnomonická se souřadnicemi
• Původní
• Původní se souřadnicemi
Textové soubory
• Detekce
• Pozorování
• Souřadnice
• Protokol
Jasnost

Moss (mos) cam7


preview
Videa
• Gnomonický
• Gnomonická se souřadnicemi
• Původní
• Původní se souřadnicemi
Obrázky
• Gnomonický
• Gnomonická se souřadnicemi
• Původní
• Původní se souřadnicemi
Textové soubory
• Detekce
• Pozorování
• Souřadnice
• Protokol
Jasnost