🇳🇴 🇬🇧 🇩🇪 🇨🇿 🇫🇮

Meteor Porsgrunnin yllä 2026-04-07 01:16:15 UTC

KML-tiedosto  |  Interaktiivinen kartta

Kartta näyttää meteorin suuntahavainnot. Vaaleammat viivat näyttävät suunnat havaintoasemilta meteorin ilmestyessä, ja tummemmat viivat näyttävät, missä se viimeksi nähtiin. Sininen nuoli näyttää meteorin näkyvän lennon.

static map
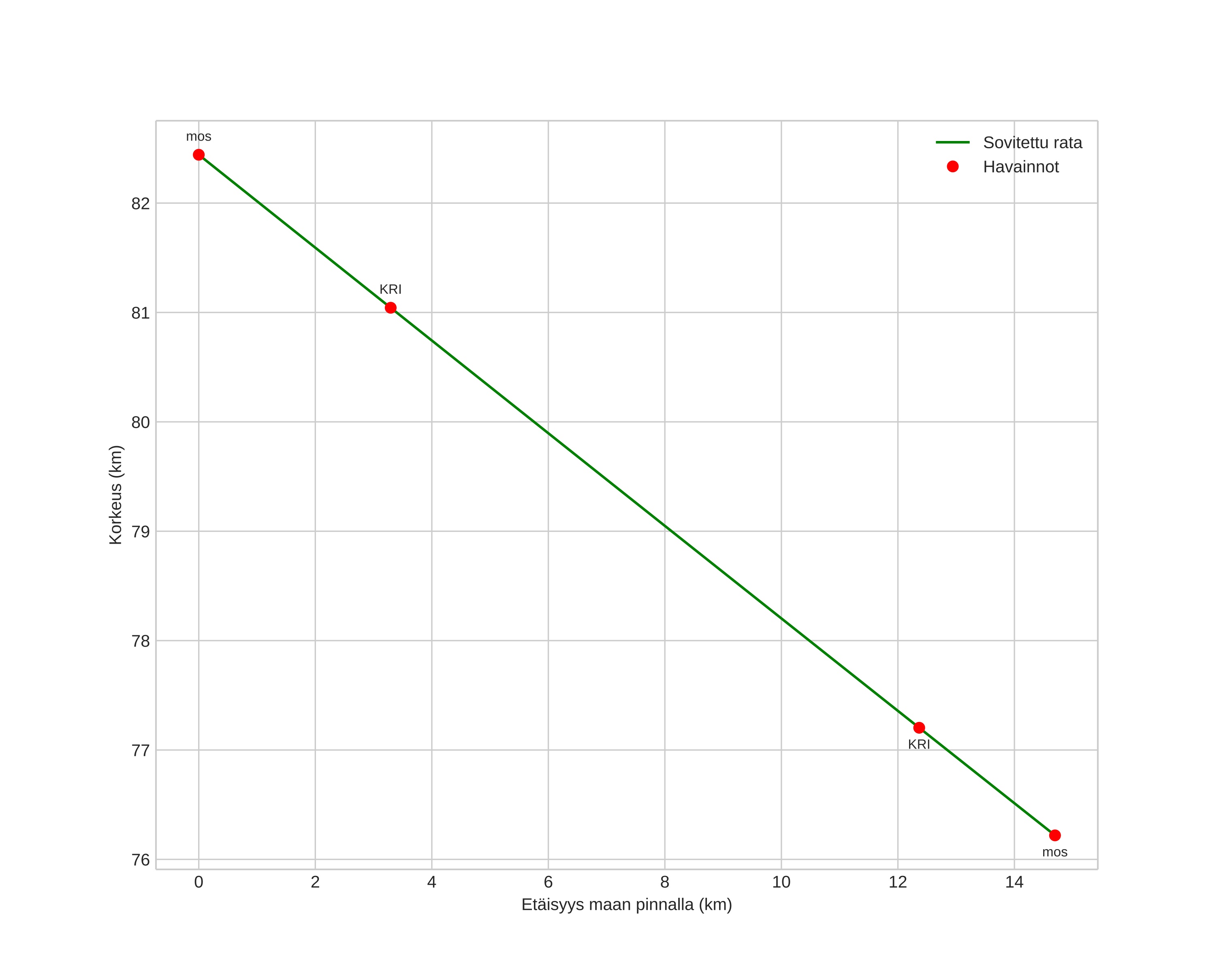
height profile
Meteorin ilmakehärata:
Alkukorkeus: 82,4 km
Loppukorkeus: 76,2 km
Alkupiste: 59,027N 9,557E
Loppupiste: 59,128N 9,723E
Suunta: 40,0°
Kallistuskulma: 22,9°
Tulonopeus: 17,6 km/s
Radiantin R,A,: 12:13 (183,4°)
Radiantin Dekl,: -10,5°
Meteoriparvi: Sporadinen
Meteoroidin rataelementit:
Perihelietäisyys: 0,777 AU
Eksentrisyys: 0,496
Inklinaatio: 3,6°
Nousevan solmun pituus: 196,9°
Perihelin argumentti: 71,0°
Keskianomalia: 335,1°
Epookki: 2026 APR 07 01:16:15
orbit plot

Ei-interaktiivinen kuvaaja | Interaktiivinen kuvaaja

position vs time
speed and acceleration

Kristiansand (KRI) cam2


preview
Videot:
• Gnomoninen
• Gnomoninen koordinaateilla
• Alkuperäinen
• Alkuperäinen koordinaateilla
Kuvat:
• Gnomoninen
• Gnomoninen koordinaateilla
• Alkuperäinen
• Alkuperäinen koordinaateilla
Tekstitiedostot:
• Havaintoraportti
• Observaatio
• Koordinaatit
• Loki
Kirkkaus

Moss (mos) cam7


preview
Videot:
• Gnomoninen
• Gnomoninen koordinaateilla
• Alkuperäinen
• Alkuperäinen koordinaateilla
Kuvat:
• Gnomoninen
• Gnomoninen koordinaateilla
• Alkuperäinen
• Alkuperäinen koordinaateilla
Tekstitiedostot:
• Havaintoraportti
• Observaatio
• Koordinaatit
• Loki
Kirkkaus