🇳🇴 🇬🇧 🇩🇪 🇨🇿 🇫🇮

Meteor, poloha: Gościcino 2026-04-17 20:43:21 UTC

Soubor KML  |  Interaktivní mapa

Mapa zobrazuje dráhy meteoru. Světlejší čáry ukazují směry od pozorovacích stanic při objevení se meteoru a tmavší čáry, kde byl naposledy viděn. Modrá šipka značí viditelnou dráhu meteoru.

static map
height profile
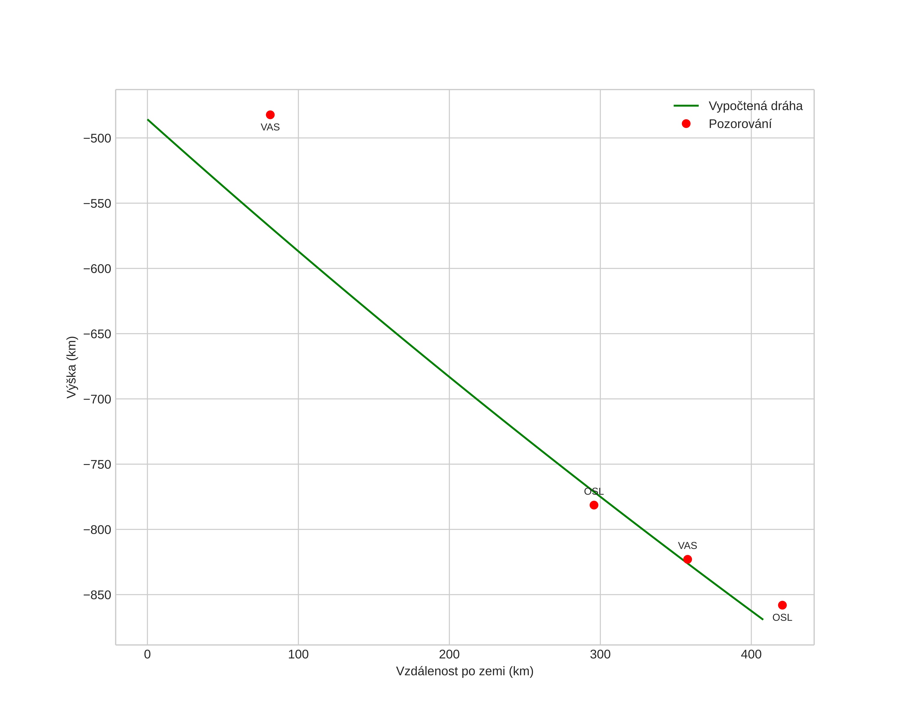
Atmosférická dráha meteoru:
Počáteční výška: -485,7 km
Konečná výška: -869,2 km
Počáteční poloha: 58,142N 16,242E
Konečná poloha: 54,624N 18,124E
Směr: 162,7°
Sklon: 43,2°
orbit plot

Neinteraktivní graf | Interaktivní graf

position vs time
speed and acceleration