🇳🇴 🇬🇧 🇩🇪 🇨🇿 🇫🇮

Meteor over Gościcino 2026-04-17 20:43:21 UTC

KML file  |  Interactive map

The map shows the bearings for the meteor. The lighter lines show the directions from the observation sites at the meteor's appearance, and the darker lines show where it was last seen. The blue arrow indicates the visible path of the meteor.

static map
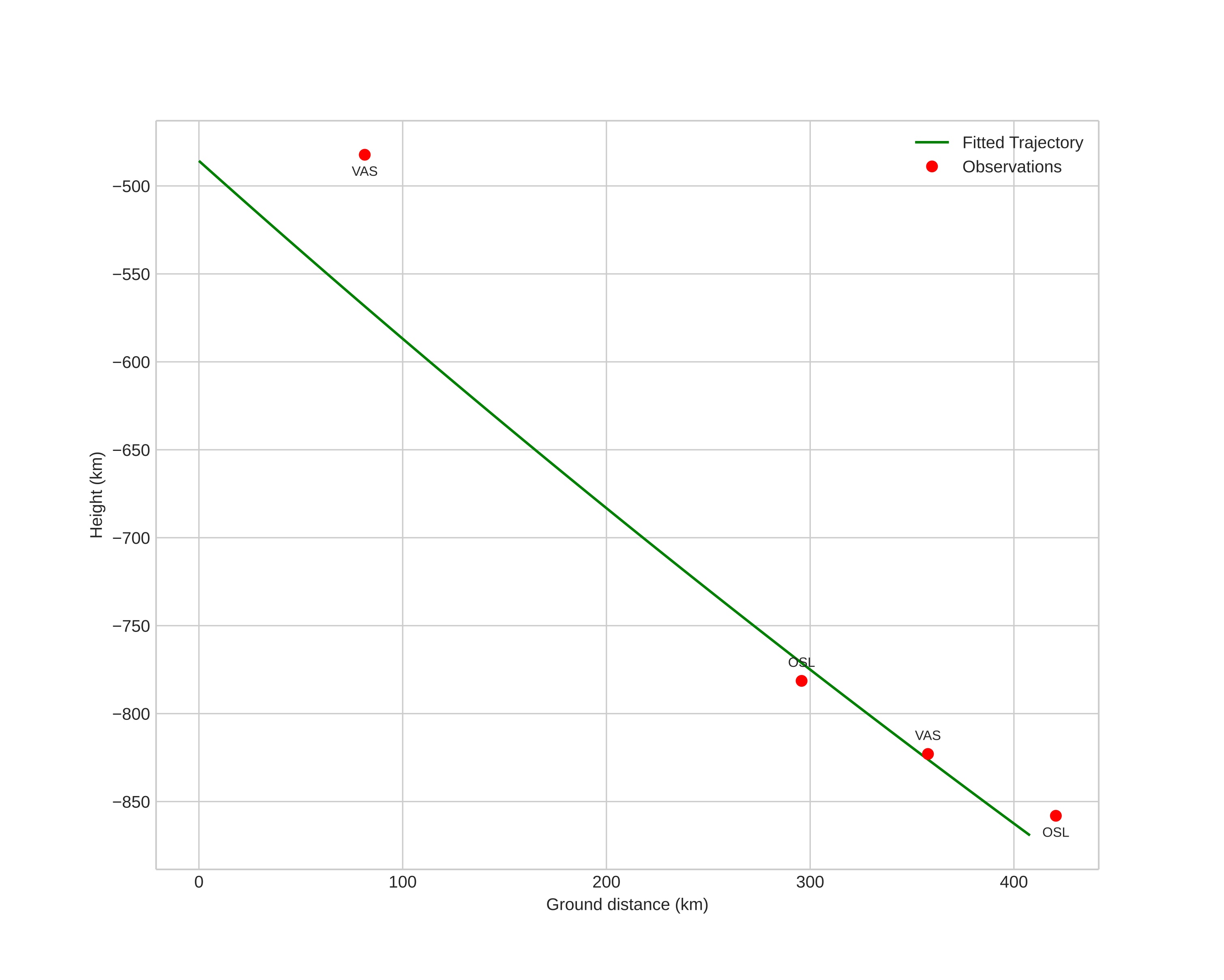
height profile
Meteor's Atmospheric Trajectory:
Start height: -485.7 km
End height: -869.2 km
Start position: 58.142N 16.242E
End position: 54.624N 18.124E
Direction: 162.7°
Inclination angle: 43.2°
orbit plot

Non-interactive plot | Interactive plot

position vs time
speed and acceleration

Vasteras (VAS) cam6


preview
Videos
• Gnomonic
• Gnomonic with coordinates
• Original
• Original with coordinates
Images
• Gnomonic
• Gnomonic with coordinates
• Original
• Original with coordinates
Text Files
• Detection
• Observation
• Coordinates
• Log
Brightness

Voksenlia (OSL) cam7


preview
Videos
• Gnomonic
• Gnomonic with coordinates
• Original
• Original with coordinates
Images
• Gnomonic
• Gnomonic with coordinates
• Original
• Original with coordinates
Text Files
• Detection
• Observation
• Coordinates
• Log
Brightness