🇳🇴 🇬🇧 🇩🇪 🇨🇿 🇫🇮

Meteor, poloha: Aas 2026-04-18 01:09:32 UTC

Soubor KML  |  InteraktivnĂ­ mapa

Mapa zobrazuje dráhy meteoru. Světlejší čáry ukazují směry od pozorovacích stanic při objevení se meteoru a tmavší čáry, kde byl naposledy viděn. Modrá šipka značí viditelnou dráhu meteoru.

static map
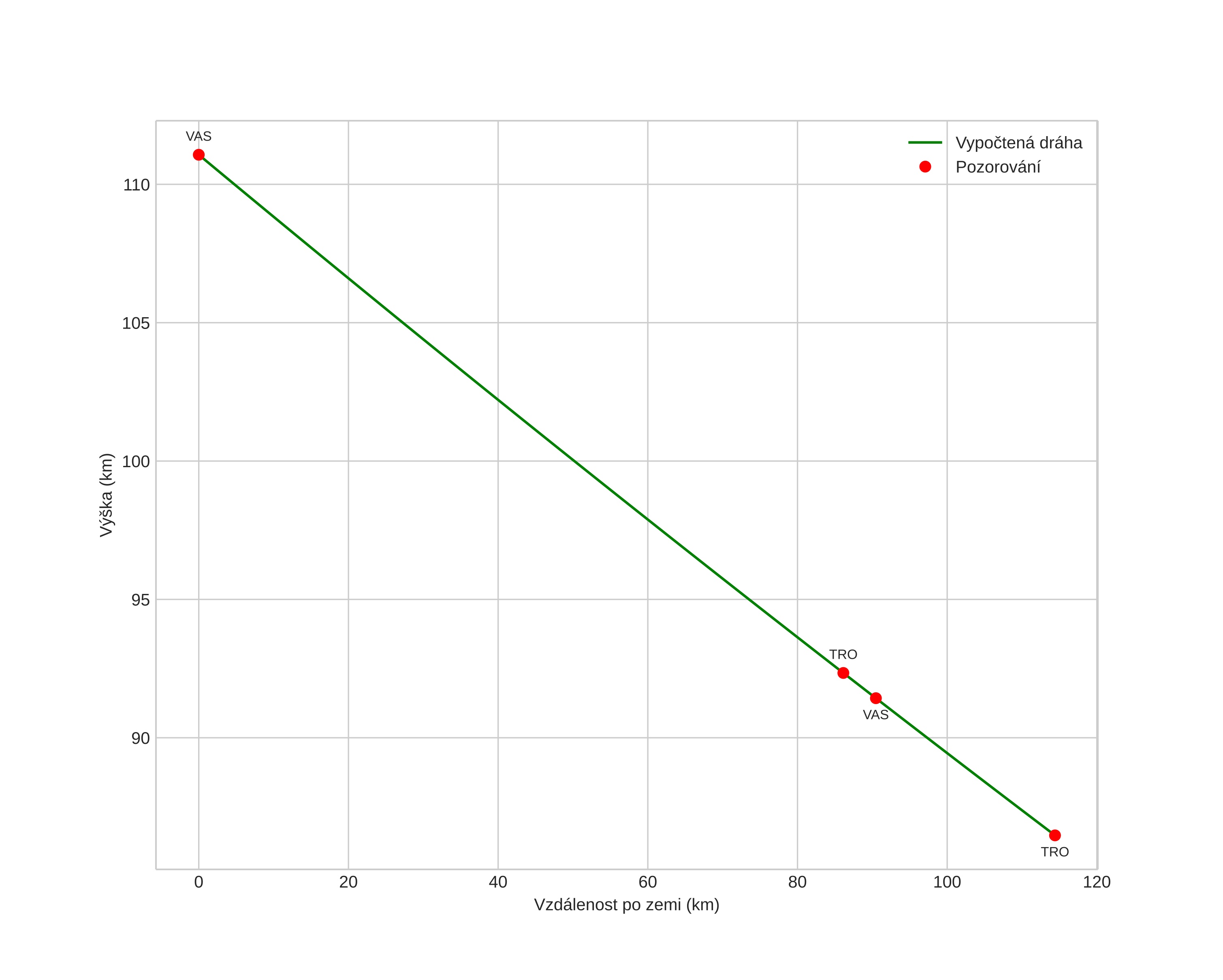
height profile
Atmosférická dráha meteoru:
Počáteční výška: 111,1 km
Konečná výška: 86,5 km
Počáteční poloha: 62,474N 13,073E
Konečná poloha: 63,177N 11,428E
Směr: 313,8°
Sklon: 12,1°
VstupnĂ­ rychlost: 67,5 km/s
Rektascenze radiantu: 18:46 (281,6°)
Deklinace radiantu: -7,9°
MeteorickĂ˝ roj: sporadickĂ˝
Elementy dráhy meteoroidu:
Vzdálenost v periheliu: 0,810 AU
Excentricita: 0,861
Sklon dráhy: 151,7°
Délka vzestupného uzlu: 27,7°
Argument perihelia: 234,4°
Střední anomálie: 357,6°
Epocha: 2026 APR 18 01:09:32
orbit plot

NeinteraktivnĂ­ graf | InteraktivnĂ­ graf

position vs time
speed and acceleration

Trondheim (TRO) cam6


preview
Videa
• Gnomonický
• Gnomonická se souřadnicemi
• Původní
• Původní se souřadnicemi
Obrázky
• Gnomonický
• Gnomonická se souřadnicemi
• Původní
• Původní se souřadnicemi
Textové soubory
• Detekce
• Pozorování
• Souřadnice
• Protokol
Jasnost

Vasteras (VAS) cam1


preview
Videa
• Gnomonický
• Gnomonická se souřadnicemi
• Původní
• Původní se souřadnicemi
Obrázky
• Gnomonický
• Gnomonická se souřadnicemi
• Původní
• Původní se souřadnicemi
Textové soubory
• Detekce
• Pozorování
• Souřadnice
• Protokol
Jasnost