🇳🇴 🇬🇧 🇩🇪 🇨🇿 🇫🇮

Meteor over Aas 2026-04-18 01:09:32 UTC

KML-fil  |  Interaktivt kart

Kartet viser peilingene for meteoren. De lysere linjene viser retningene fra observasjonsstedene for meteorens tilsynekomst, og de mørkere linjene viser hvor den sist kunne sees. Den blå pila viser meteorens synlige ferd.

static map
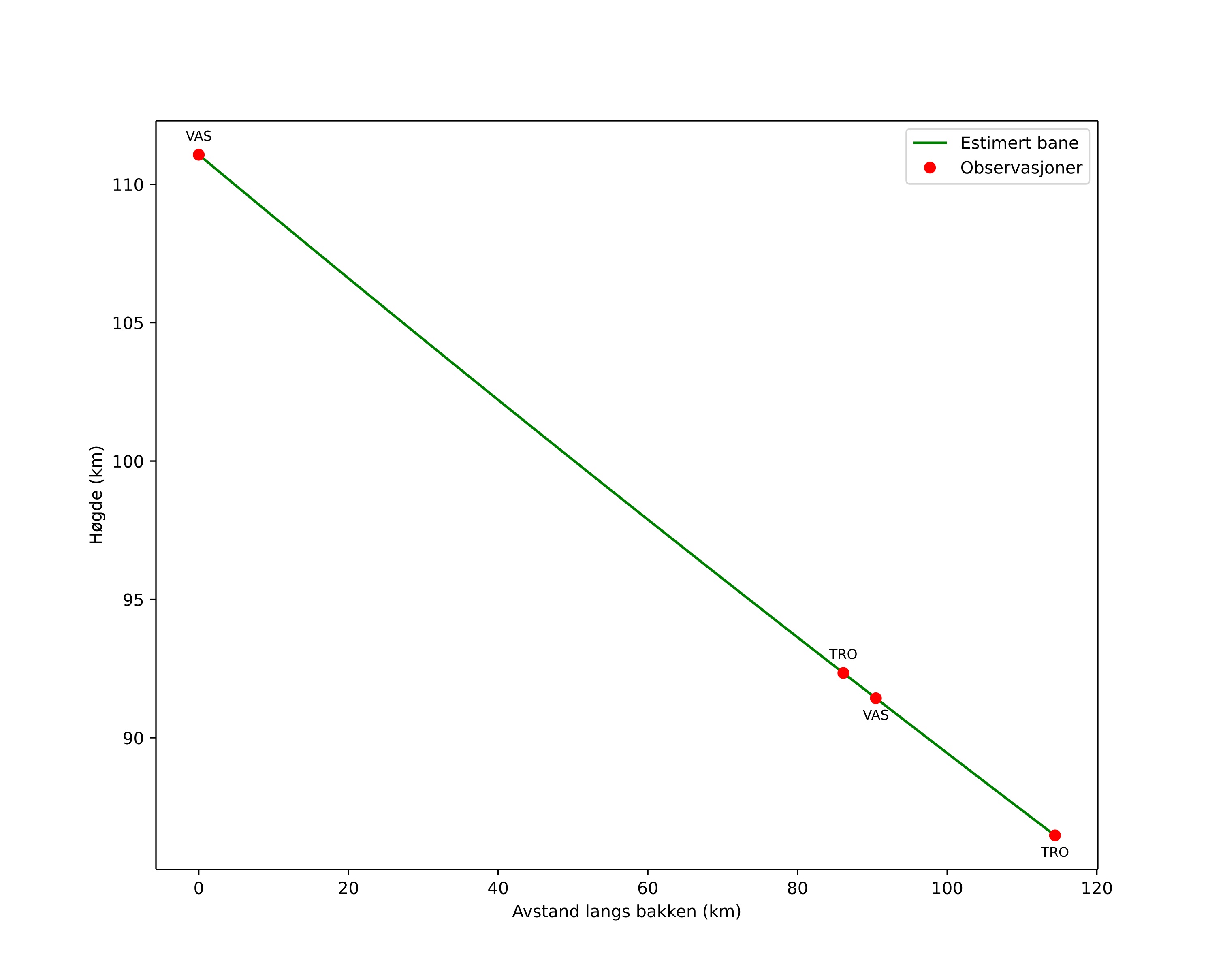
height profile
Meteorens atmosfæriske bane:
Starthøgde: 111,1 km
Slutthøgde: 86,5 km
Startposisjon: 62,474N 13,073E
Sluttposisjon: 63,177N 11,428E
Retning: 313,8°
Fallvinkel: 12,1°
Inngangshastighet: 67,5 km/s
Radiantens rektascensjon: 18:46 (281,6°)
Radiantens deklinasjon: -7,9°
Meteorsverm: sporadisk
Meteoroidens baneelement:
Perihelavstand: 0,810 AU
Eksentrisitet: 0,861
Inklinasjon: 151,7°
Knutelengde: 27,7°
Perihelargument: 234,4°
Midlere anomali: 357,6°
Epoke: 2026 APR 18 01:09:32
orbit plot

Ikke-interaktivt plott | Interaktivt plott

position vs time
speed and acceleration

Trondheim (TRO) cam6


preview
Videoer
• Gnomonisk
• Gnomonisk med koordinater
• Original
• Original med koordinater
Bilder
• Gnomonisk
• Gnomonisk med koordinater
• Original
• Original med koordinater
Tekstfiler
• Deteksjon
• Observasjon
• Koordinater
• Logg
Lysstyrke

Vasteras (VAS) cam1


preview
Videoer
• Gnomonisk
• Gnomonisk med koordinater
• Original
• Original med koordinater
Bilder
• Gnomonisk
• Gnomonisk med koordinater
• Original
• Original med koordinater
Tekstfiler
• Deteksjon
• Observasjon
• Koordinater
• Logg
Lysstyrke