🇳🇴 🇬🇧 🇩🇪 🇨🇿 🇫🇮

Meteor über Aas 2026-04-18 01:09:32 UTC

KML-Datei  |  Interaktive Karte

Die Karte zeigt die Peilungen für den Meteor. Die helleren Linien zeigen die Richtungen von den Beobachtungsorten beim Erscheinen des Meteors, und die dunkleren Linien, wo er zuletzt gesehen wurde. Der blaue Pfeil zeigt die sichtbare Bahn des Meteors.

static map
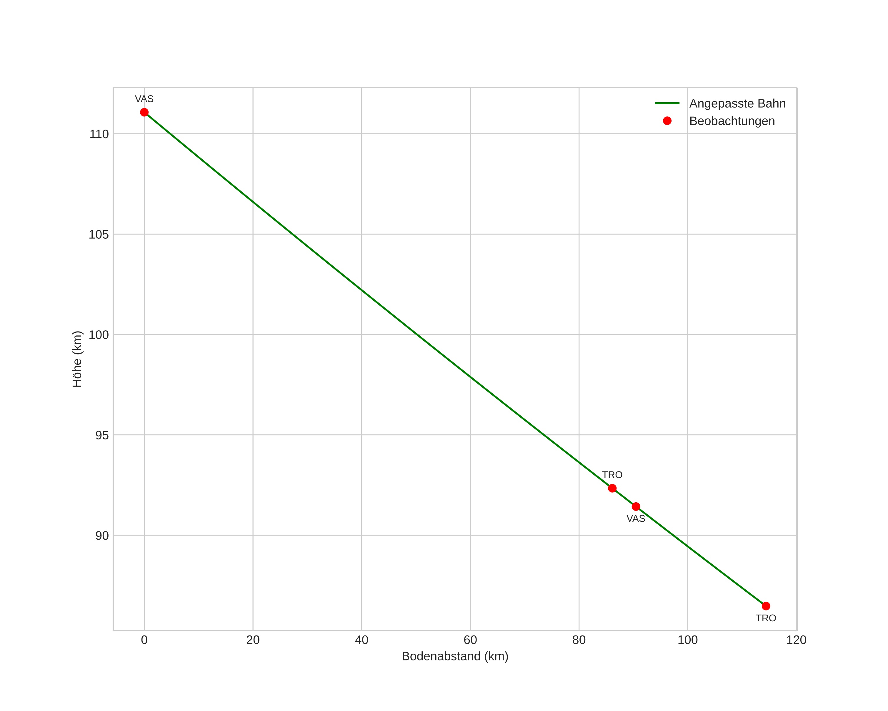
height profile
Atmosphärische Bahn des Meteors:
Anfangshöhe: 111,1 km
Endhöhe: 86,5 km
Startposition: 62,474N 13,073E
Endposition: 63,177N 11,428E
Richtung: 313,8°
Neigungswinkel: 12,1°
Eintrittsgeschwindigkeit: 67,5 km/s
Rektaszension des Radianten: 18:46 (281,6°)
Deklination des Radianten: -7,9°
Meteorstrom: sporadisch
Bahnelemente des Meteoroiden:
Periheldistanz: 0,810 AU
Exzentrizität: 0,861
Inklination: 151,7°
Länge des aufsteigenden Knotens: 27,7°
Argument des Perihels: 234,4°
Mittlere Anomalie: 357,6°
Epoche: 2026 APR 18 01:09:32
orbit plot

Nicht-interaktives Diagramm | Interaktives Diagramm

position vs time
speed and acceleration

Trondheim (TRO) cam6


preview
Videos
• Gnomonisch
• Gnomonisch mit Koordinaten
• Original
• Original mit Koordinaten
Bilder
• Gnomonisch
• Gnomonisch mit Koordinaten
• Original
• Original mit Koordinaten
Textdateien
• Erkennung
• Beobachtung
• Koordinaten
• Protokoll
Helligkeit

Vasteras (VAS) cam1


preview
Videos
• Gnomonisch
• Gnomonisch mit Koordinaten
• Original
• Original mit Koordinaten
Bilder
• Gnomonisch
• Gnomonisch mit Koordinaten
• Original
• Original mit Koordinaten
Textdateien
• Erkennung
• Beobachtung
• Koordinaten
• Protokoll
Helligkeit