🇳🇴 🇬🇧 🇩🇪 🇨🇿 🇫🇮

Meteor Horndalin yllä 2026-04-21 00:11:35 UTC

KML-tiedosto  |  Interaktiivinen kartta

Kartta näyttää meteorin suuntahavainnot. Vaaleammat viivat näyttävät suunnat havaintoasemilta meteorin ilmestyessä, ja tummemmat viivat näyttävät, missä se viimeksi nähtiin. Sininen nuoli näyttää meteorin näkyvän lennon.

static map
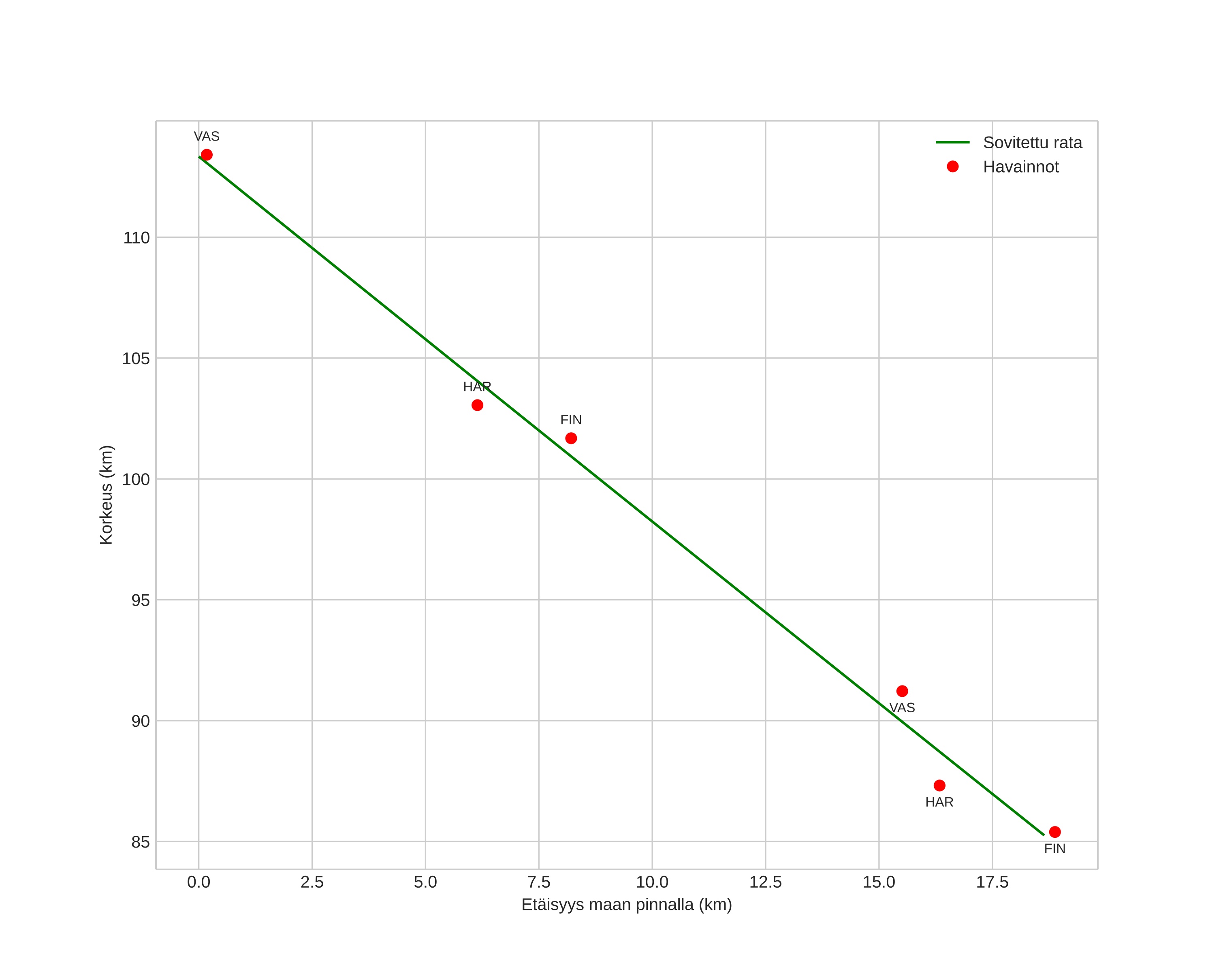
height profile
Meteorin ilmakehärata:
Alkukorkeus: 113,3 km
Loppukorkeus: 85,3 km
Alkupiste: 60,204N 16,920E
Loppupiste: 60,289N 16,629E
Suunta: 300,7°
Kallistuskulma: 56,3°
Tulonopeus: 50,1 km/s
Radiantin R,A,: 17:37 (264,4°)
Radiantin Dekl,: 35,2°
Meteoriparvi: Lyridit
Meteoroidin rataelementit:
Perihelietäisyys: 0,899 AU
Eksentrisyys: 1,309
Inklinaatio: 76,5°
Nousevan solmun pituus: 30,6°
Perihelin argumentti: 215,5°
Keskianomalia: -4,3°
Epookki: 2026 APR 21 00:11:35
orbit plot

Ei-interaktiivinen kuvaaja | Interaktiivinen kuvaaja

position vs time
speed and acceleration

Finnskogen (FIN) cam2


preview
Videot:
• Gnomoninen
• Gnomoninen koordinaateilla
• Alkuperäinen
• Alkuperäinen koordinaateilla
Kuvat:
• Gnomoninen
• Gnomoninen koordinaateilla
• Alkuperäinen
• Alkuperäinen koordinaateilla
Tekstitiedostot:
• Havaintoraportti
• Observaatio
• Koordinaatit
• Loki
Kirkkaus

Harestua (HAR) cam2


preview
Videot:
• Gnomoninen
• Gnomoninen koordinaateilla
• Alkuperäinen
• Alkuperäinen koordinaateilla
Kuvat:
• Gnomoninen
• Gnomoninen koordinaateilla
• Alkuperäinen
• Alkuperäinen koordinaateilla
Tekstitiedostot:
• Havaintoraportti
• Observaatio
• Koordinaatit
• Loki
Kirkkaus

Vasteras (VAS) cam6


preview
Videot:
• Gnomoninen
• Gnomoninen koordinaateilla
• Alkuperäinen
• Alkuperäinen koordinaateilla
Kuvat:
• Gnomoninen
• Gnomoninen koordinaateilla
• Alkuperäinen
• Alkuperäinen koordinaateilla
Tekstitiedostot:
• Havaintoraportti
• Observaatio
• Koordinaatit
• Loki
Kirkkaus