🇳🇴 🇬🇧 🇩🇪 🇨🇿 🇫🇮

Meteor over Horndal 2026-04-21 00:11:35 UTC

KML-fil  |  Interaktivt kart

Kartet viser peilingene for meteoren. De lysere linjene viser retningene fra observasjonsstedene for meteorens tilsynekomst, og de mørkere linjene viser hvor den sist kunne sees. Den blå pila viser meteorens synlige ferd.

static map
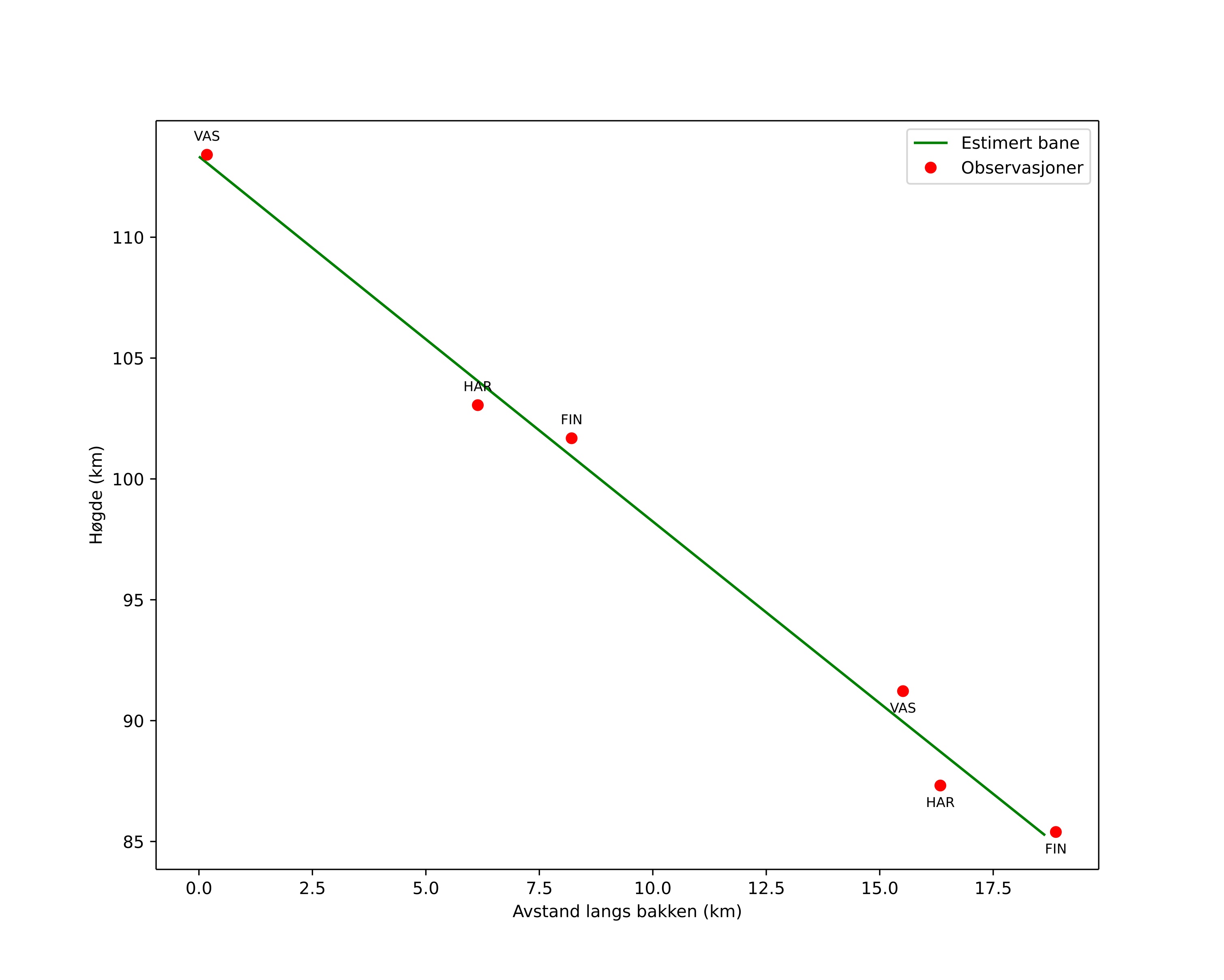
height profile
Meteorens atmosfæriske bane:
Starthøgde: 113,3 km
Slutthøgde: 85,3 km
Startposisjon: 60,204N 16,920E
Sluttposisjon: 60,289N 16,629E
Retning: 300,7°
Fallvinkel: 56,3°
Inngangshastighet: 50,1 km/s
Radiantens rektascensjon: 17:37 (264,4°)
Radiantens deklinasjon: 35,2°
Meteorsverm: Lyridene
Meteoroidens baneelement:
Perihelavstand: 0,899 AU
Eksentrisitet: 1,309
Inklinasjon: 76,5°
Knutelengde: 30,6°
Perihelargument: 215,5°
Midlere anomali: -4,3°
Epoke: 2026 APR 21 00:11:35
orbit plot

Ikke-interaktivt plott | Interaktivt plott

position vs time
speed and acceleration

Finnskogen (FIN) cam2


preview
Videoer
• Gnomonisk
• Gnomonisk med koordinater
• Original
• Original med koordinater
Bilder
• Gnomonisk
• Gnomonisk med koordinater
• Original
• Original med koordinater
Tekstfiler
• Deteksjon
• Observasjon
• Koordinater
• Logg
Lysstyrke

Harestua (HAR) cam2


preview
Videoer
• Gnomonisk
• Gnomonisk med koordinater
• Original
• Original med koordinater
Bilder
• Gnomonisk
• Gnomonisk med koordinater
• Original
• Original med koordinater
Tekstfiler
• Deteksjon
• Observasjon
• Koordinater
• Logg
Lysstyrke

Vasteras (VAS) cam6


preview
Videoer
• Gnomonisk
• Gnomonisk med koordinater
• Original
• Original med koordinater
Bilder
• Gnomonisk
• Gnomonisk med koordinater
• Original
• Original med koordinater
Tekstfiler
• Deteksjon
• Observasjon
• Koordinater
• Logg
Lysstyrke