🇳🇴 🇬🇧 🇩🇪 🇨🇿 🇫🇮

Meteor, poloha: Ísafjörður 2026-04-22 22:34:42 UTC

Soubor KML  |  Interaktivní mapa

Mapa zobrazuje dráhy meteoru. Světlejší čáry ukazují směry od pozorovacích stanic při objevení se meteoru a tmavší čáry, kde byl naposledy viděn. Modrá šipka značí viditelnou dráhu meteoru.

static map
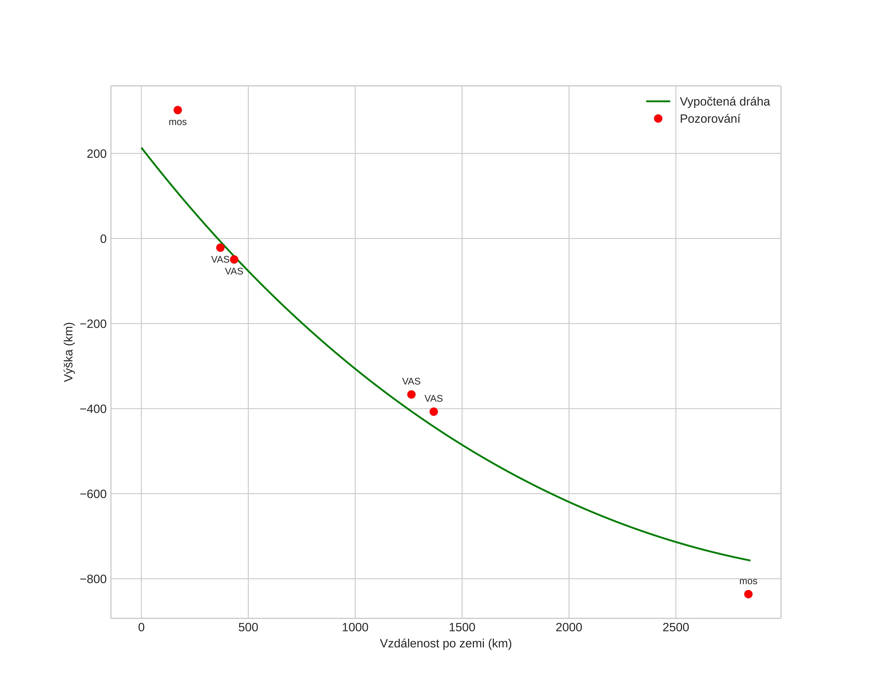
height profile
Atmosférická dráha meteoru:
Počáteční výška: 213,5 km
Konečná výška: -757,3 km
Počáteční poloha: 56,791N 16,581E
Konečná poloha: 78,313N -25,503E
Směr: 341,7°
Sklon: 18,8°
position vs time
speed and acceleration