Die Karte zeigt die Peilungen fĂĽr den Meteor. Die helleren Linien zeigen die Richtungen von den Beobachtungsorten beim Erscheinen des Meteors, und die dunkleren Linien, wo er zuletzt gesehen wurde. Der blaue Pfeil zeigt die sichtbare Bahn des Meteors.

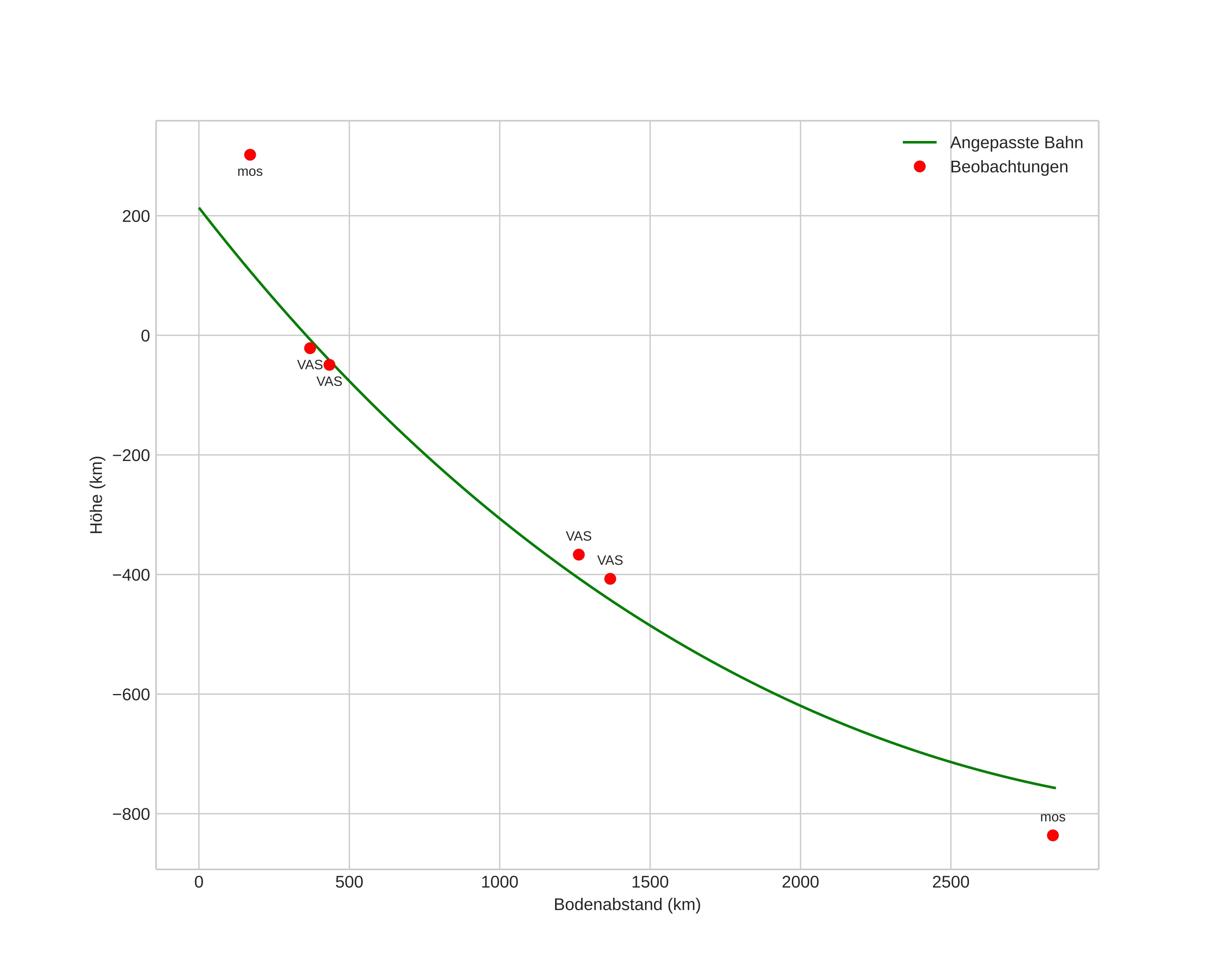
Atmosphärische Bahn des Meteors:
|


![]() |
![]() |
![]() |
![]() |
![]() |
![]() |