🇳🇴 🇬🇧 🇩🇪 🇨🇿 🇫🇮

Meteor über Härnösand 2026-04-22 22:45:44 UTC

KML-Datei  |  Interaktive Karte

Die Karte zeigt die Peilungen für den Meteor. Die helleren Linien zeigen die Richtungen von den Beobachtungsorten beim Erscheinen des Meteors, und die dunkleren Linien, wo er zuletzt gesehen wurde. Der blaue Pfeil zeigt die sichtbare Bahn des Meteors.

static map
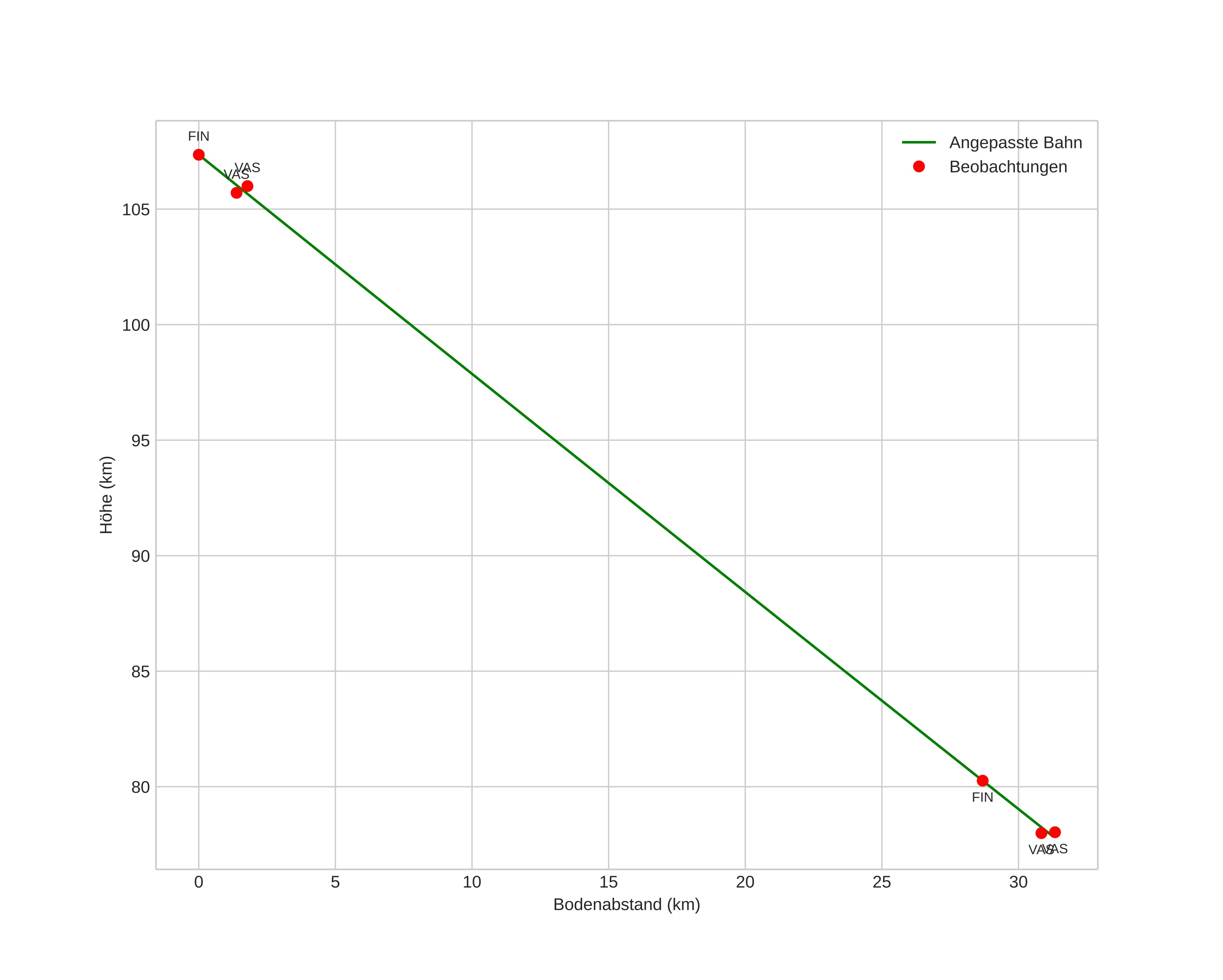
height profile
Atmosphärische Bahn des Meteors:
Anfangshöhe: 107,4 km
Endhöhe: 77,9 km
Startposition: 61,639N 18,907E
Endposition: 61,675N 18,320E
Richtung: 277,7°
Neigungswinkel: 43,4°
Eintrittsgeschwindigkeit: 52,1 km/s
Rektaszension des Radianten: 18:05 (271,4°)
Deklination des Radianten: 33,5°
Meteorstrom: Lyriden
Bahnelemente des Meteoroiden:
Periheldistanz: 0,924 AU
Exzentrizität: 1,273
Inklination: 82,4°
Länge des aufsteigenden Knotens: 32,4°
Argument des Perihels: 211,1°
Mittlere Anomalie: -3,1°
Epoche: 2026 APR 22 22:45:44
orbit plot

Nicht-interaktives Diagramm | Interaktives Diagramm

position vs time
speed and acceleration

Finnskogen (FIN) cam2


preview
Videos
• Gnomonisch
• Gnomonisch mit Koordinaten
• Original
• Original mit Koordinaten
Bilder
• Gnomonisch
• Gnomonisch mit Koordinaten
• Original
• Original mit Koordinaten
Textdateien
• Erkennung
• Beobachtung
• Koordinaten
• Protokoll
Helligkeit

Vasteras (VAS) cam1


preview
Videos
• Gnomonisch
• Gnomonisch mit Koordinaten
• Original
• Original mit Koordinaten
Bilder
• Gnomonisch
• Gnomonisch mit Koordinaten
• Original
• Original mit Koordinaten
Textdateien
• Erkennung
• Beobachtung
• Koordinaten
• Protokoll
Helligkeit

Vasteras (VAS) cam2


preview
Videos
• Gnomonisch
• Gnomonisch mit Koordinaten
• Original
• Original mit Koordinaten
Bilder
• Gnomonisch
• Gnomonisch mit Koordinaten
• Original
• Original mit Koordinaten
Textdateien
• Erkennung
• Beobachtung
• Koordinaten
• Protokoll
Helligkeit