🇳🇴 🇬🇧 🇩🇪 🇨🇿 🇫🇮

Meteor over Härnösand 2026-04-22 22:45:44 UTC

KML-fil  |  Interaktivt kart

Kartet viser peilingene for meteoren. De lysere linjene viser retningene fra observasjonsstedene for meteorens tilsynekomst, og de mørkere linjene viser hvor den sist kunne sees. Den blå pila viser meteorens synlige ferd.

static map
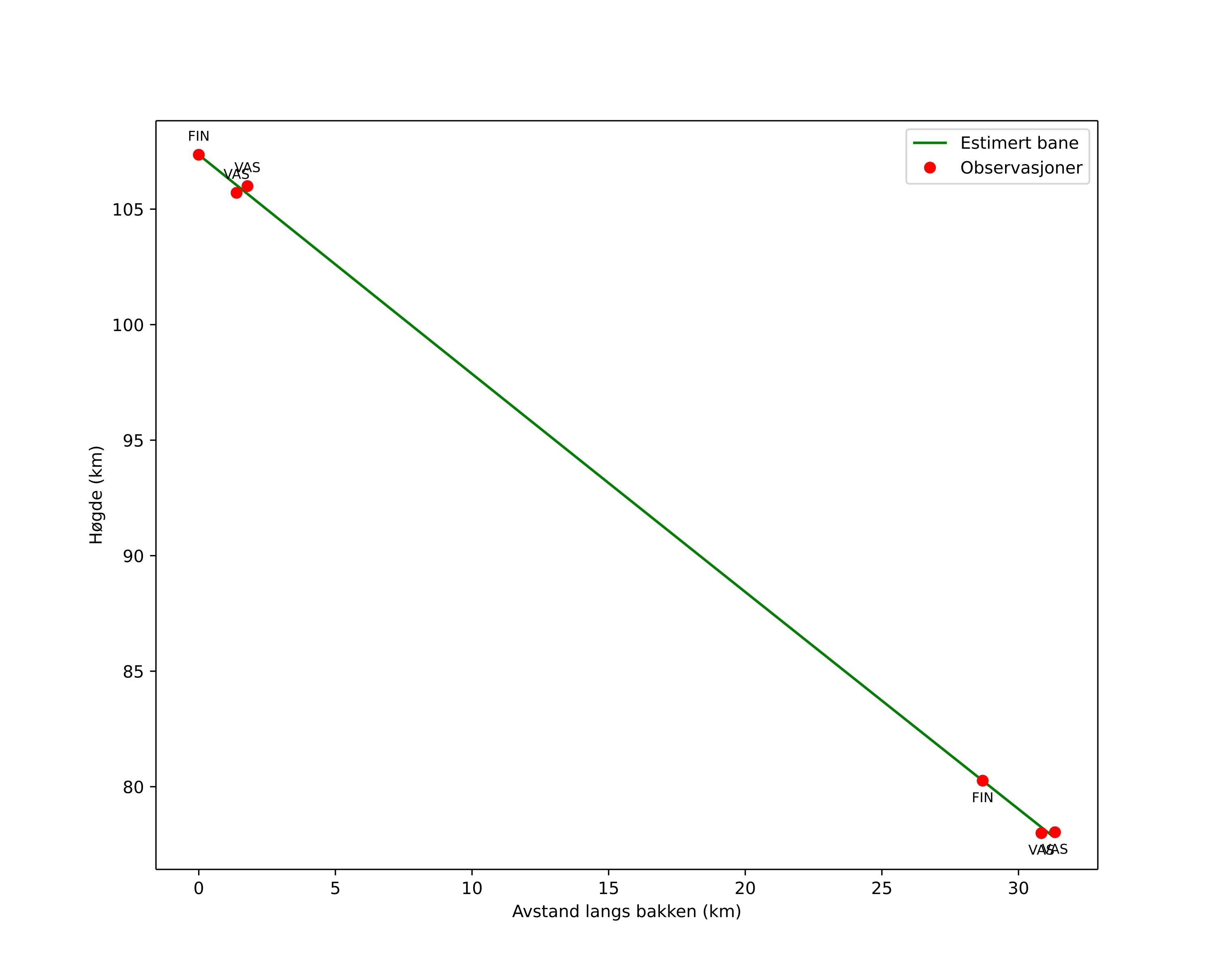
height profile
Meteorens atmosfæriske bane:
Starthøgde: 107,4 km
Slutthøgde: 77,9 km
Startposisjon: 61,639N 18,907E
Sluttposisjon: 61,675N 18,320E
Retning: 277,7°
Fallvinkel: 43,4°
Inngangshastighet: 52,1 km/s
Radiantens rektascensjon: 18:05 (271,4°)
Radiantens deklinasjon: 33,5°
Meteorsverm: Lyridene
Meteoroidens baneelement:
Perihelavstand: 0,924 AU
Eksentrisitet: 1,273
Inklinasjon: 82,4°
Knutelengde: 32,4°
Perihelargument: 211,1°
Midlere anomali: -3,1°
Epoke: 2026 APR 22 22:45:44
orbit plot

Ikke-interaktivt plott | Interaktivt plott

position vs time
speed and acceleration

Finnskogen (FIN) cam2


preview
Videoer
• Gnomonisk
• Gnomonisk med koordinater
• Original
• Original med koordinater
Bilder
• Gnomonisk
• Gnomonisk med koordinater
• Original
• Original med koordinater
Tekstfiler
• Deteksjon
• Observasjon
• Koordinater
• Logg
Lysstyrke

Vasteras (VAS) cam1


preview
Videoer
• Gnomonisk
• Gnomonisk med koordinater
• Original
• Original med koordinater
Bilder
• Gnomonisk
• Gnomonisk med koordinater
• Original
• Original med koordinater
Tekstfiler
• Deteksjon
• Observasjon
• Koordinater
• Logg
Lysstyrke

Vasteras (VAS) cam2


preview
Videoer
• Gnomonisk
• Gnomonisk med koordinater
• Original
• Original med koordinater
Bilder
• Gnomonisk
• Gnomonisk med koordinater
• Original
• Original med koordinater
Tekstfiler
• Deteksjon
• Observasjon
• Koordinater
• Logg
Lysstyrke