🇳🇴 🇬🇧 🇩🇪 🇨🇿 🇫🇮

Meteor over Torsby 2026-04-23 23:11:54 UTC

KML-fil  |  Interaktivt kart

Kartet viser peilingene for meteoren. De lysere linjene viser retningene fra observasjonsstedene for meteorens tilsynekomst, og de mørkere linjene viser hvor den sist kunne sees. Den blå pila viser meteorens synlige ferd.

static map
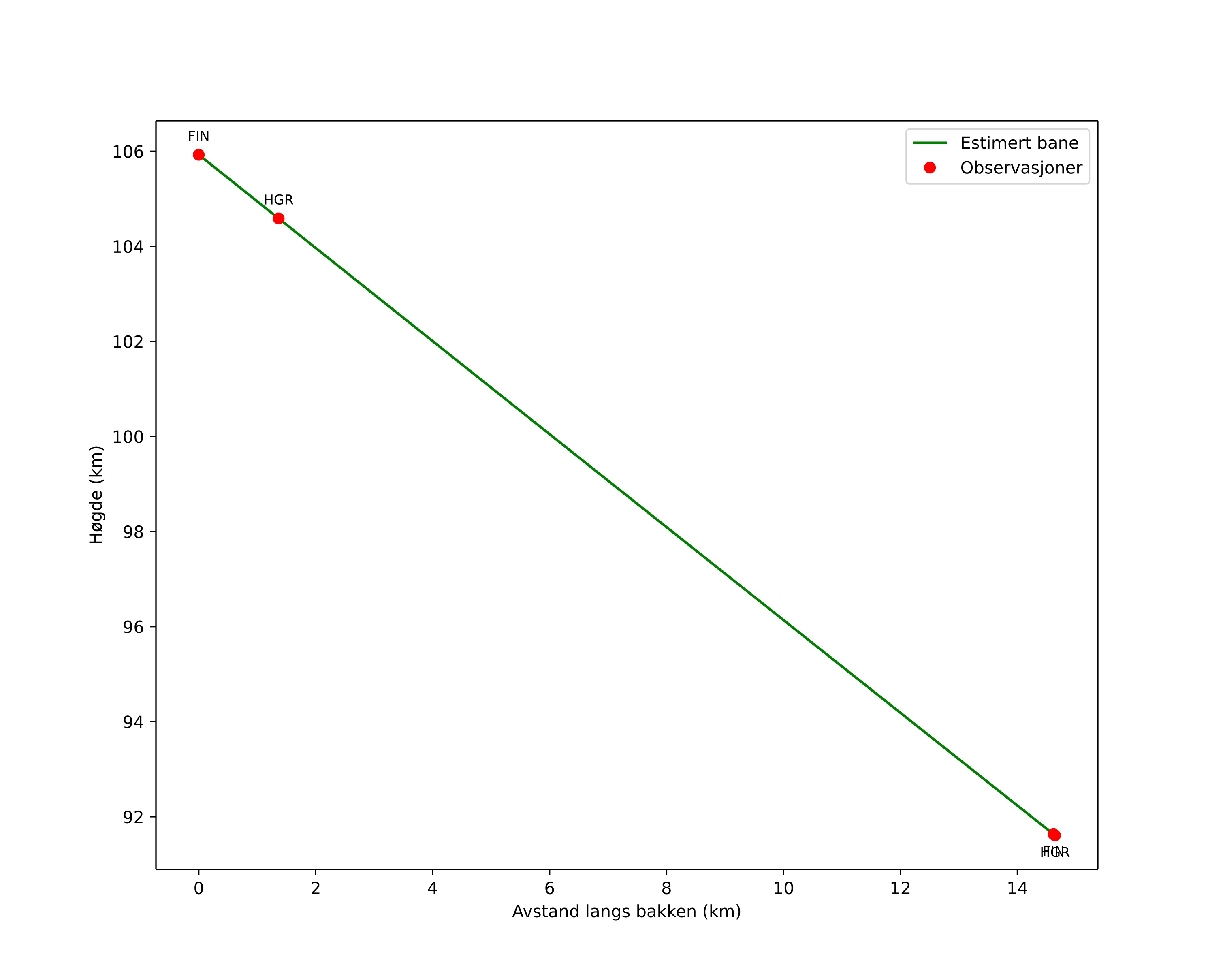
height profile
Meteorens atmosfæriske bane:
Starthøgde: 105,9 km
Slutthøgde: 91,6 km
Startposisjon: 60,851N 13,190E
Sluttposisjon: 60,863N 12,920E
Retning: 275,2°
Fallvinkel: 44,3°
Inngangshastighet: 53,7 km/s
Radiantens rektascensjon: 18:15 (273,9°)
Radiantens deklinasjon: 35,0°
Meteorsverm: Lyridene
Meteoroidens baneelement:
Perihelavstand: 0,947 AU
Eksentrisitet: 1,429
Inklinasjon: 83,4°
Knutelengde: 33,4°
Perihelargument: 205,8°
Midlere anomali: -4,8°
Epoke: 2026 APR 23 23:11:54
orbit plot

Ikke-interaktivt plott | Interaktivt plott

position vs time
speed and acceleration

Finnskogen (FIN) cam7


preview
Videoer
• Gnomonisk
• Gnomonisk med koordinater
• Original
• Original med koordinater
Bilder
• Gnomonisk
• Gnomonisk med koordinater
• Original
• Original med koordinater
Tekstfiler
• Deteksjon
• Observasjon
• Koordinater
• Logg
Lysstyrke

Hagar (HGR) cam3


preview
Videoer
• Gnomonisk
• Gnomonisk med koordinater
• Original
• Original med koordinater
Bilder
• Gnomonisk
• Gnomonisk med koordinater
• Original
• Original med koordinater
Tekstfiler
• Deteksjon
• Observasjon
• Koordinater
• Logg
Lysstyrke