🇳🇴 🇬🇧 🇩🇪 🇨🇿 🇫🇮

Meteor über Torsby 2026-04-23 23:11:54 UTC

KML-Datei  |  Interaktive Karte

Die Karte zeigt die Peilungen für den Meteor. Die helleren Linien zeigen die Richtungen von den Beobachtungsorten beim Erscheinen des Meteors, und die dunkleren Linien, wo er zuletzt gesehen wurde. Der blaue Pfeil zeigt die sichtbare Bahn des Meteors.

static map
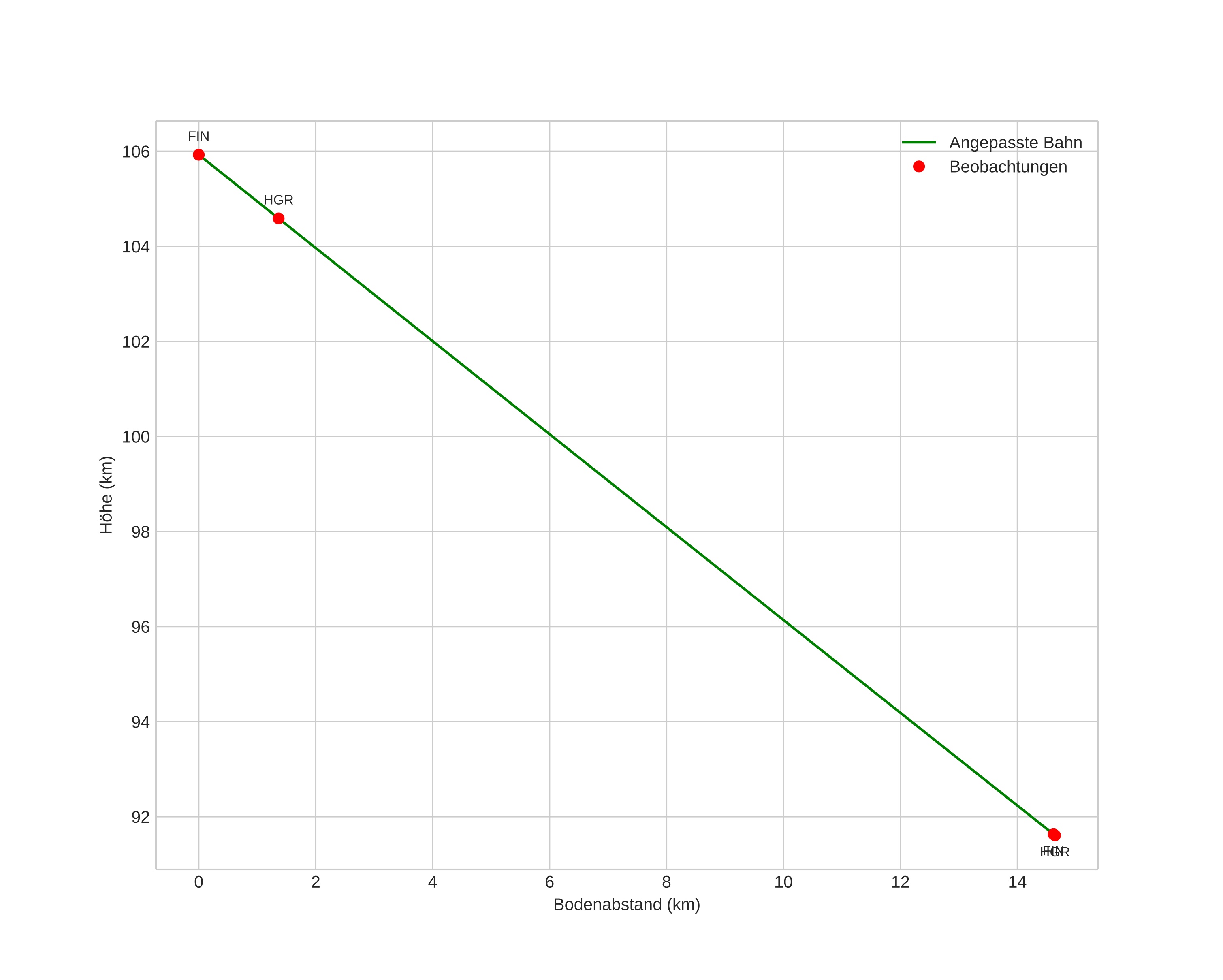
height profile
Atmosphärische Bahn des Meteors:
Anfangshöhe: 105,9 km
Endhöhe: 91,6 km
Startposition: 60,851N 13,190E
Endposition: 60,863N 12,920E
Richtung: 275,2°
Neigungswinkel: 44,3°
Eintrittsgeschwindigkeit: 53,7 km/s
Rektaszension des Radianten: 18:15 (273,9°)
Deklination des Radianten: 35,0°
Meteorstrom: Lyriden
Bahnelemente des Meteoroiden:
Periheldistanz: 0,947 AU
Exzentrizität: 1,429
Inklination: 83,4°
Länge des aufsteigenden Knotens: 33,4°
Argument des Perihels: 205,8°
Mittlere Anomalie: -4,8°
Epoche: 2026 APR 23 23:11:54
orbit plot

Nicht-interaktives Diagramm | Interaktives Diagramm

position vs time
speed and acceleration

Finnskogen (FIN) cam7


preview
Videos
• Gnomonisch
• Gnomonisch mit Koordinaten
• Original
• Original mit Koordinaten
Bilder
• Gnomonisch
• Gnomonisch mit Koordinaten
• Original
• Original mit Koordinaten
Textdateien
• Erkennung
• Beobachtung
• Koordinaten
• Protokoll
Helligkeit

Hagar (HGR) cam3


preview
Videos
• Gnomonisch
• Gnomonisch mit Koordinaten
• Original
• Original mit Koordinaten
Bilder
• Gnomonisch
• Gnomonisch mit Koordinaten
• Original
• Original mit Koordinaten
Textdateien
• Erkennung
• Beobachtung
• Koordinaten
• Protokoll
Helligkeit