🇳🇴 🇬🇧 🇩🇪 🇨🇿 🇫🇮

Meteor Torsbyn yllä 2026-04-23 23:11:54 UTC

KML-tiedosto  |  Interaktiivinen kartta

Kartta näyttää meteorin suuntahavainnot. Vaaleammat viivat näyttävät suunnat havaintoasemilta meteorin ilmestyessä, ja tummemmat viivat näyttävät, missä se viimeksi nähtiin. Sininen nuoli näyttää meteorin näkyvän lennon.

static map
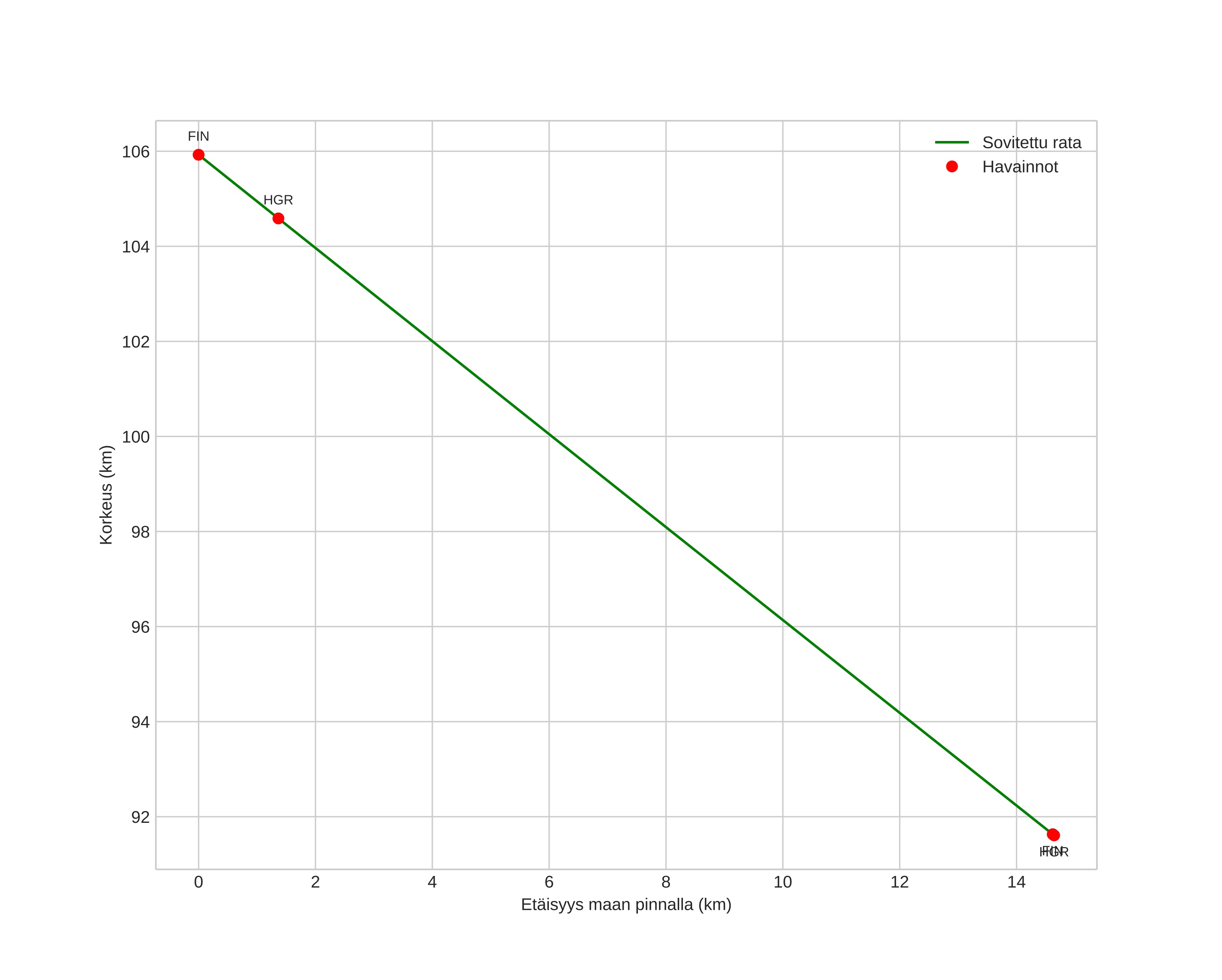
height profile
Meteorin ilmakehärata:
Alkukorkeus: 105,9 km
Loppukorkeus: 91,6 km
Alkupiste: 60,851N 13,190E
Loppupiste: 60,863N 12,920E
Suunta: 275,2°
Kallistuskulma: 44,3°
Tulonopeus: 53,7 km/s
Radiantin R,A,: 18:15 (273,9°)
Radiantin Dekl,: 35,0°
Meteoriparvi: Lyridit
Meteoroidin rataelementit:
Perihelietäisyys: 0,947 AU
Eksentrisyys: 1,429
Inklinaatio: 83,4°
Nousevan solmun pituus: 33,4°
Perihelin argumentti: 205,8°
Keskianomalia: -4,8°
Epookki: 2026 APR 23 23:11:54
orbit plot

Ei-interaktiivinen kuvaaja | Interaktiivinen kuvaaja

position vs time
speed and acceleration

Finnskogen (FIN) cam7


preview
Videot:
• Gnomoninen
• Gnomoninen koordinaateilla
• Alkuperäinen
• Alkuperäinen koordinaateilla
Kuvat:
• Gnomoninen
• Gnomoninen koordinaateilla
• Alkuperäinen
• Alkuperäinen koordinaateilla
Tekstitiedostot:
• Havaintoraportti
• Observaatio
• Koordinaatit
• Loki
Kirkkaus

Hagar (HGR) cam3


preview
Videot:
• Gnomoninen
• Gnomoninen koordinaateilla
• Alkuperäinen
• Alkuperäinen koordinaateilla
Kuvat:
• Gnomoninen
• Gnomoninen koordinaateilla
• Alkuperäinen
• Alkuperäinen koordinaateilla
Tekstitiedostot:
• Havaintoraportti
• Observaatio
• Koordinaatit
• Loki
Kirkkaus