🇳🇴 🇬🇧 🇩🇪 🇨🇿 🇫🇮

Meteor Stangen yllä 2026-04-26 22:44:59 UTC

KML-tiedosto  |  Interaktiivinen kartta

Kartta näyttää meteorin suuntahavainnot. Vaaleammat viivat näyttävät suunnat havaintoasemilta meteorin ilmestyessä, ja tummemmat viivat näyttävät, missä se viimeksi nähtiin. Sininen nuoli näyttää meteorin näkyvän lennon.

static map
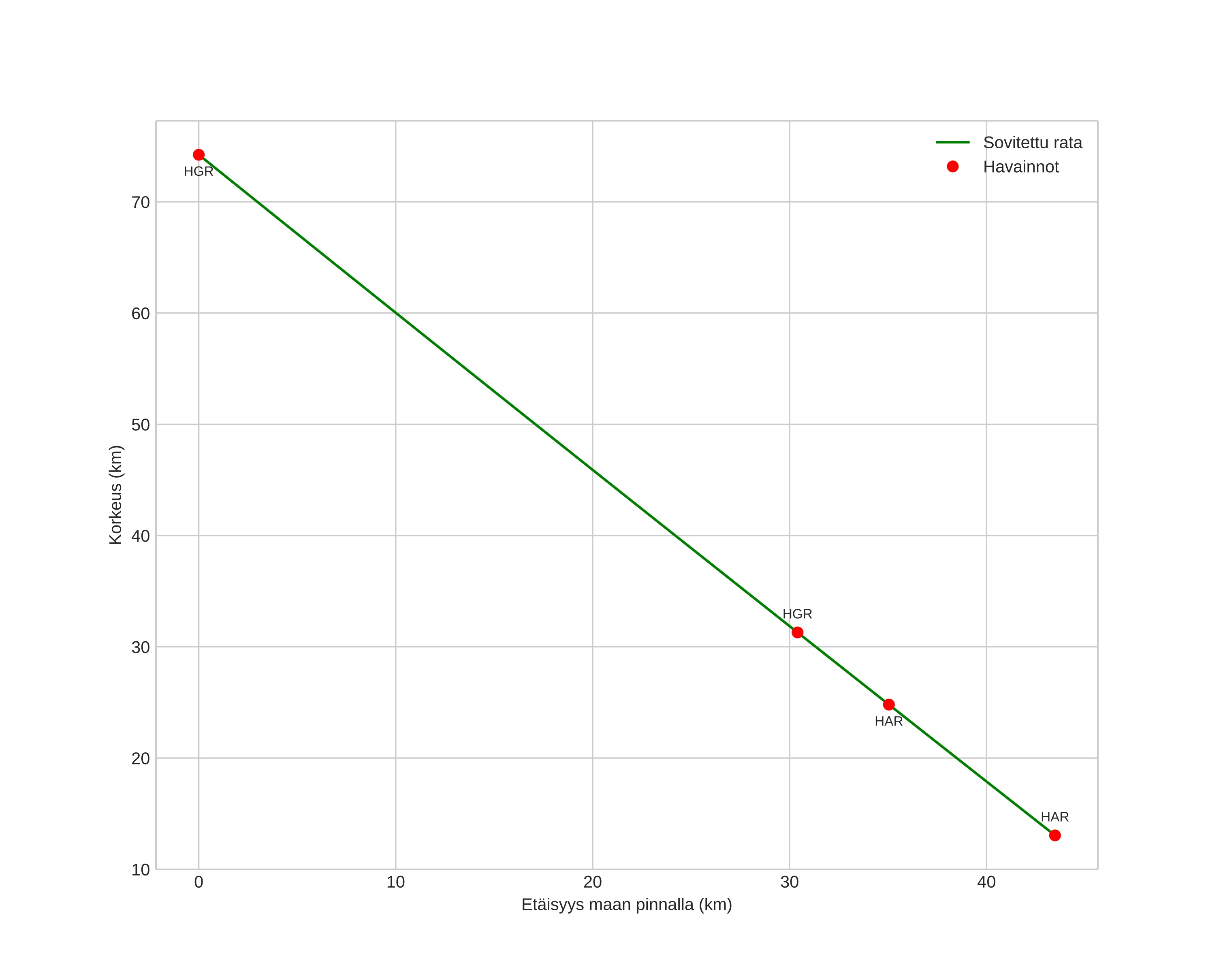
height profile
wind profile
Meteorin ilmakehärata:
Alkukorkeus: 74,2 km
Loppukorkeus: 13,0 km
Alkupiste: 60,619N 10,375E
Loppupiste: 60,628N 11,172E
Suunta: 88,3°
Kallistuskulma: 54,6°
position vs time
speed and acceleration

Hagar (HGR) cam7


preview
Videot:
• Alkuperäinen
Kuvat:
• Gnomoninen
• Alkuperäinen
Tekstitiedostot:
• Havaintoraportti
• Observaatio
• Koordinaatit
• Loki
Kirkkaus

Harestua (HAR) cam6


preview
Videot:
• Alkuperäinen
Kuvat:
• Gnomoninen
• Alkuperäinen
Tekstitiedostot:
• Havaintoraportti
• Observaatio
• Koordinaatit
• Loki
Kirkkaus