🇳🇴 🇬🇧 🇩🇪 🇨🇿 🇫🇮

Meteor über Ekshärad 2026-04-26 23:21:04 UTC

KML-Datei  |  Interaktive Karte

Die Karte zeigt die Peilungen für den Meteor. Die helleren Linien zeigen die Richtungen von den Beobachtungsorten beim Erscheinen des Meteors, und die dunkleren Linien, wo er zuletzt gesehen wurde. Der blaue Pfeil zeigt die sichtbare Bahn des Meteors.

static map
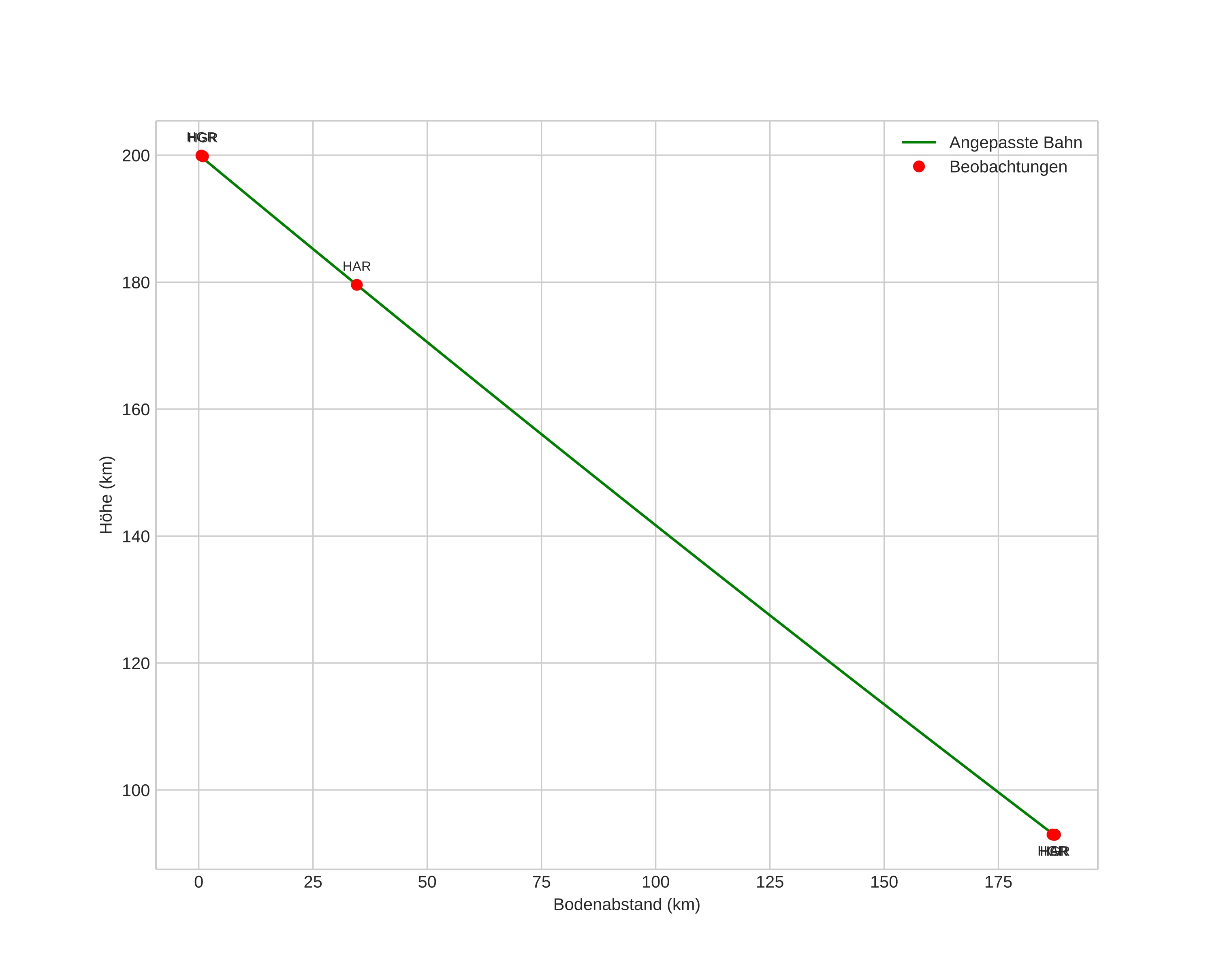
height profile
Atmosphärische Bahn des Meteors:
Anfangshöhe: 200,1 km
Endhöhe: 92,8 km
Startposition: 60,242N 10,183E
Endposition: 60,314N 13,579E
Richtung: 86,1°
Neigungswinkel: 29,8°
Eintrittsgeschwindigkeit: 3,2 km/s
position vs time
speed and acceleration

Hagar (HGR) cam3


preview
Videos
• Original
Bilder
• Gnomonisch
• Original
Textdateien
• Erkennung
• Beobachtung
• Koordinaten
• Protokoll
Helligkeit

Hagar (HGR) cam4


preview
Videos
• Original
Bilder
• Gnomonisch
• Original
Textdateien
• Erkennung
• Beobachtung
• Koordinaten
• Protokoll
Helligkeit

Harestua (HAR) cam2


preview
Videos
• Original
Bilder
• Gnomonisch
• Original
Textdateien
• Erkennung
• Beobachtung
• Koordinaten
• Protokoll
Helligkeit