🇳🇴 🇬🇧 🇩🇪 🇨🇿 🇫🇮

Meteor over Ekshärad 2026-04-26 23:21:04 UTC

KML-fil  |  Interaktivt kart

Kartet viser peilingene for meteoren. De lysere linjene viser retningene fra observasjonsstedene for meteorens tilsynekomst, og de mørkere linjene viser hvor den sist kunne sees. Den blå pila viser meteorens synlige ferd.

static map
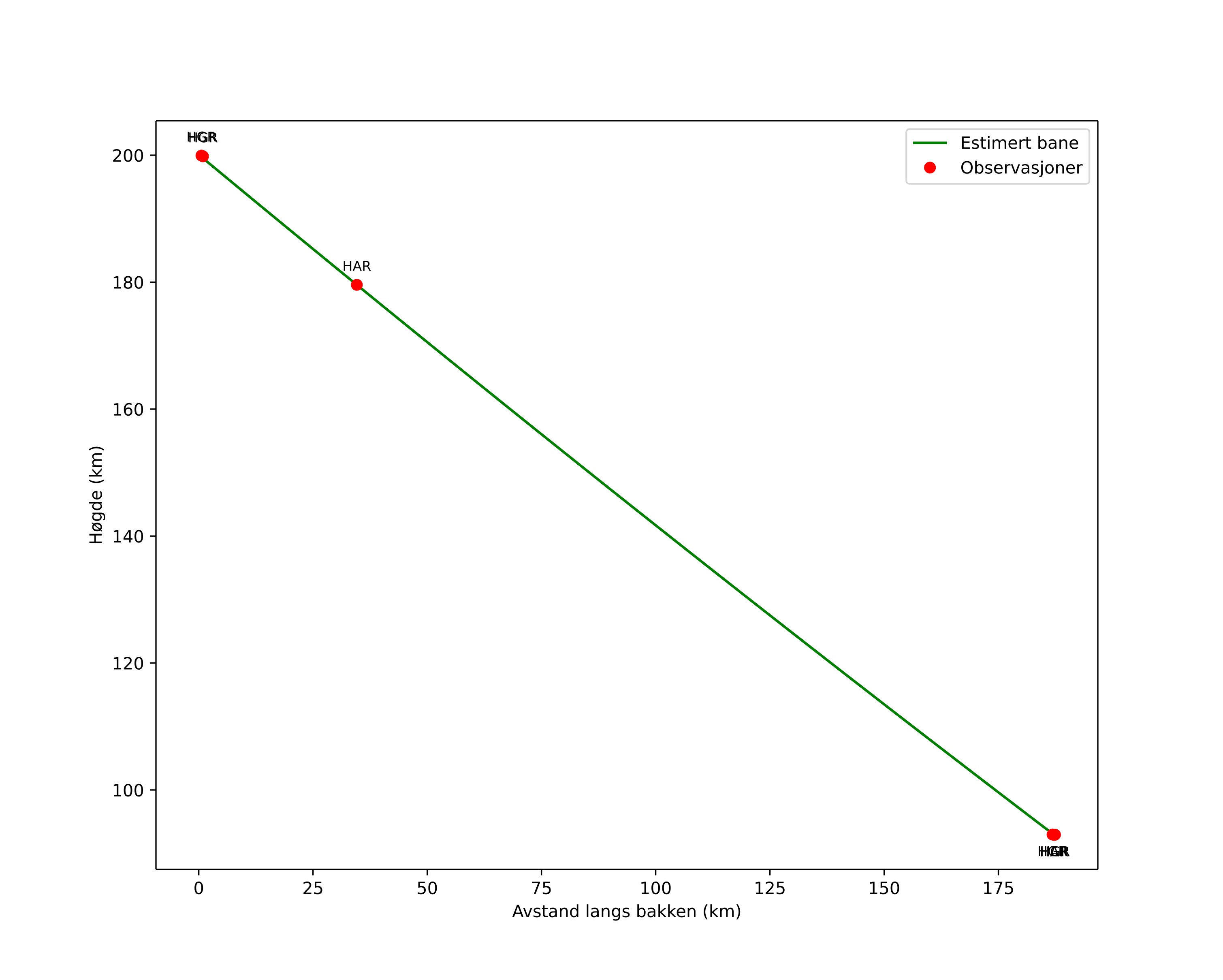
height profile
Meteorens atmosfæriske bane:
Starthøgde: 200,1 km
Slutthøgde: 92,8 km
Startposisjon: 60,242N 10,183E
Sluttposisjon: 60,314N 13,579E
Retning: 86,1°
Fallvinkel: 29,8°
Inngangshastighet: 3,2 km/s
position vs time
speed and acceleration

Hagar (HGR) cam3


preview
Videoer
• Original
Bilder
• Gnomonisk
• Original
Tekstfiler
• Deteksjon
• Observasjon
• Koordinater
• Logg
Lysstyrke

Hagar (HGR) cam4


preview
Videoer
• Original
Bilder
• Gnomonisk
• Original
Tekstfiler
• Deteksjon
• Observasjon
• Koordinater
• Logg
Lysstyrke

Harestua (HAR) cam2


preview
Videoer
• Original
Bilder
• Gnomonisk
• Original
Tekstfiler
• Deteksjon
• Observasjon
• Koordinater
• Logg
Lysstyrke